mp-15257-2/Tb2Se3/anharm

Harmonic properties

../../_images/fig_bandos_pr14618.png

(a) Phonon dispersion with participation ratio and DOS

../../_images/fig_thermo14618.png

(b) Thermodynamic properties

Grüneisen parameters

../../_images/fig_gru_all6252.png

(a) Grüneisen parameters

../../_images/fig_gruneisen6252.png

(b) Phonon dispersion with Grüneisen parameters

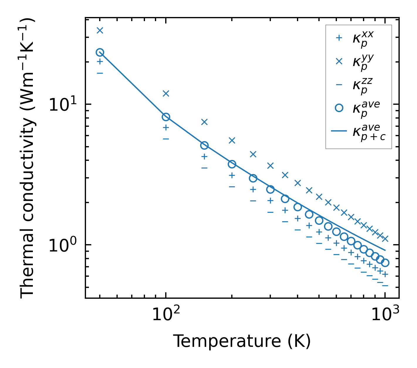
Thermal conductivity

3-phonon (LASSO) — q-mesh: 6x18x6, supercell: 1x3x2

../../_images/fig_kappa11762.png

(a) Temperature-dependent lattice thermal conductivity

../../_images/fig_kappa_vs_grain_size6329.png

(b) Peierls lattice thermal conductivity w.r.t grain size

Phonon lifetime and scattering rates

../../_images/fig_lifetime6190.png

(a) Phonon lifetime due to phonon-phonon scattering

../../_images/fig_scat_rates6189.png

(b) Phonon scattering rates

Cumulative and spectral thermal conductivity

../../_images/fig_cumu_frequency6190.png

(a) Spectral and cumulative thermal conductivity w.r.t frequency

../../_images/fig_cumu_mfp6189.png

(b) Spectral and cumulative thermal conductivity w.r.t MFP

Force constants

../../_images/fig_fc214237.png

(a) Force constants w.r.t atomic distance

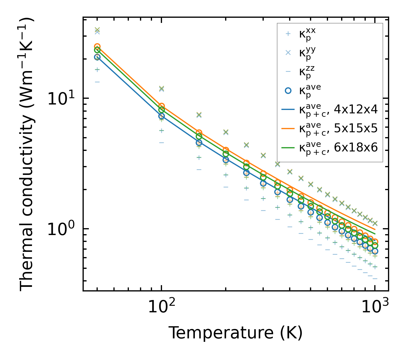
Summary

../../_images/fig_kappa11763.png

(a) Temperature-dependent lattice thermal conductivity

../../_images/fig_times24322.png

(b) Computation time