mp-15103/Sr3Y2Ge3O12/anharm

Harmonic properties

../../_images/fig_bandos_pr14591.png

(a) Phonon dispersion with participation ratio and DOS

../../_images/fig_thermo14591.png

(b) Thermodynamic properties

Grüneisen parameters

../../_images/fig_gru_all6245.png

(a) Grüneisen parameters

../../_images/fig_gruneisen6245.png

(b) Phonon dispersion with Grüneisen parameters

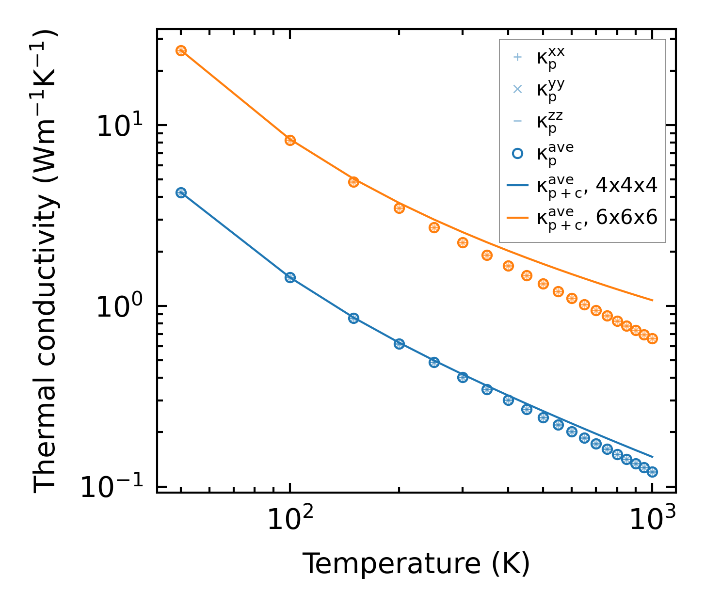
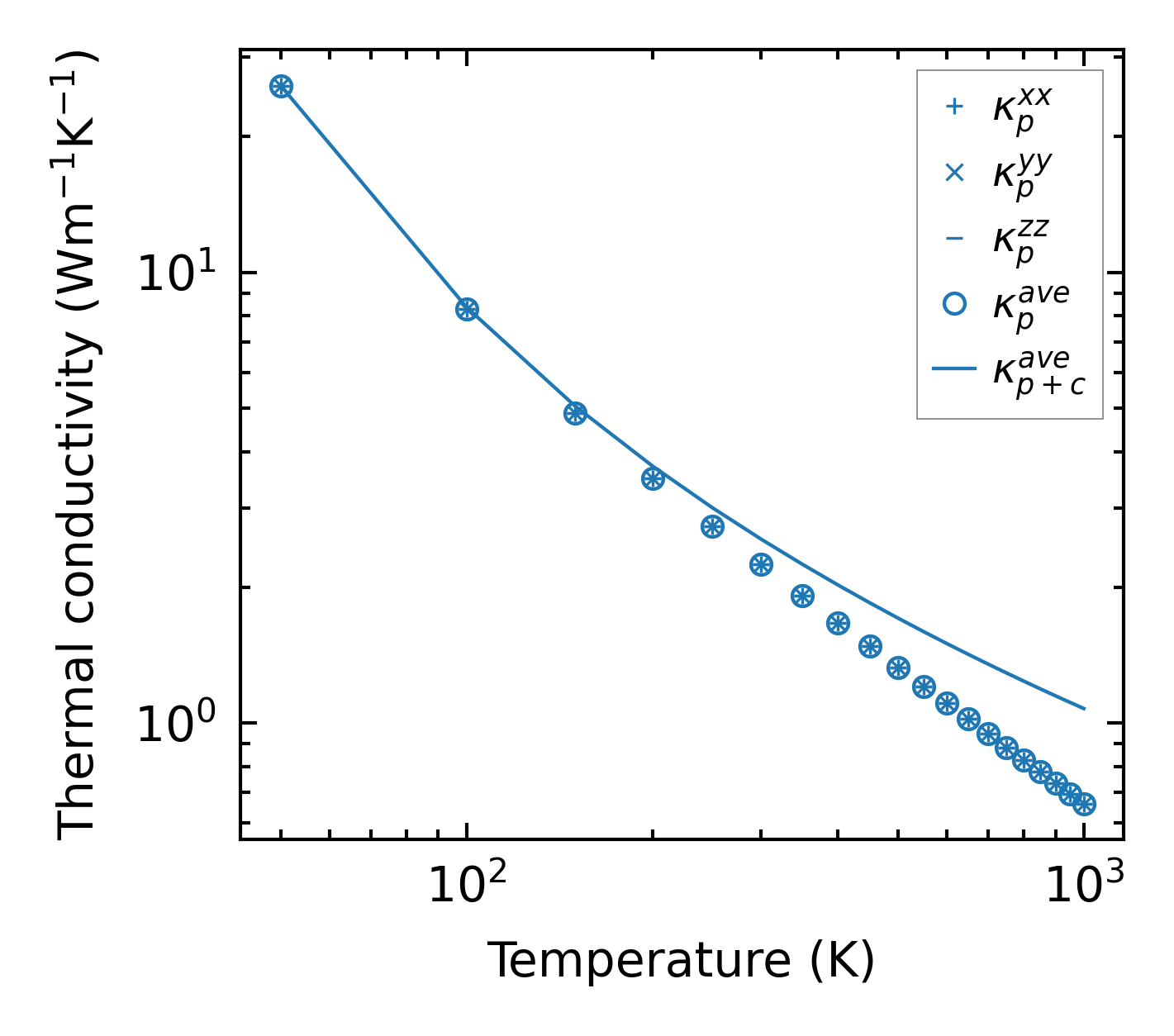
Thermal conductivity

3-phonon (LASSO) — q-mesh: 6x6x6, supercell: 1x1x1

../../_images/fig_kappa11748.png

(a) Temperature-dependent lattice thermal conductivity

../../_images/fig_kappa_vs_grain_size6322.png

(b) Peierls lattice thermal conductivity w.r.t grain size

Phonon lifetime and scattering rates

../../_images/fig_lifetime6183.png

(a) Phonon lifetime due to phonon-phonon scattering

../../_images/fig_scat_rates6182.png

(b) Phonon scattering rates

Cumulative and spectral thermal conductivity

../../_images/fig_cumu_frequency6183.png

(a) Spectral and cumulative thermal conductivity w.r.t frequency

../../_images/fig_cumu_mfp6182.png

(b) Spectral and cumulative thermal conductivity w.r.t MFP

Force constants

../../_images/fig_fc214210.png

(a) Force constants w.r.t atomic distance

Summary

../../_images/fig_kappa11749.png

(a) Temperature-dependent lattice thermal conductivity

../../_images/fig_times24288.png

(b) Computation time