mp-755911/Hf2N2O/anharm

Harmonic properties

../../_images/fig_bandos_pr3503.png

(a) Phonon dispersion with participation ratio and DOS

../../_images/fig_thermo3503.png

(b) Thermodynamic properties

Grüneisen parameters

../../_images/fig_gru_all1582.png

(a) Grüneisen parameters

../../_images/fig_gruneisen1582.png

(b) Phonon dispersion with Grüneisen parameters

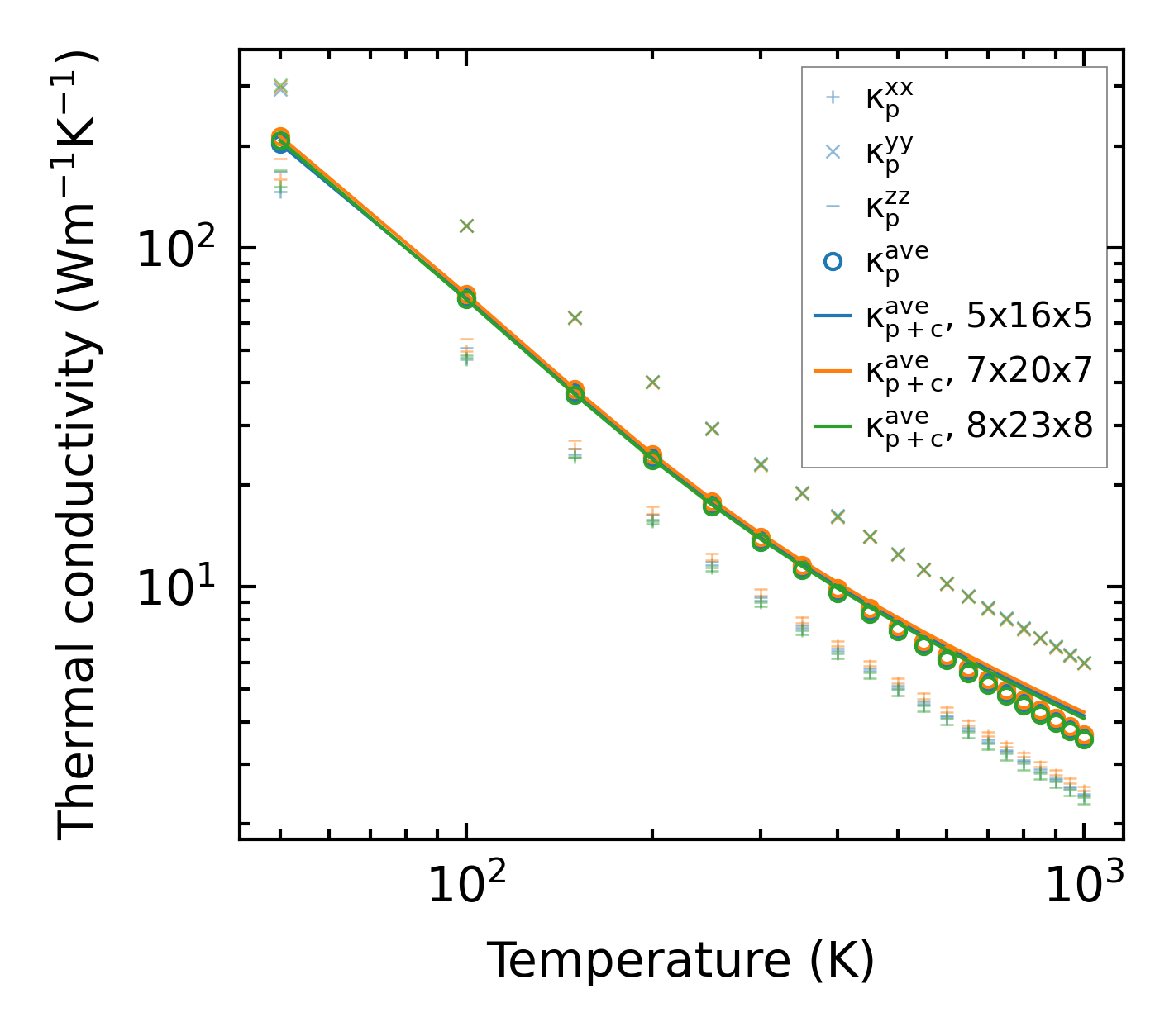
Thermal conductivity

3-phonon (LASSO) — q-mesh: 8x23x8, supercell: 1x3x2

../../_images/fig_kappa3041.png

(a) Temperature-dependent lattice thermal conductivity

../../_images/fig_kappa_vs_grain_size1603.png

(b) Peierls lattice thermal conductivity w.r.t grain size

Phonon lifetime and scattering rates

../../_images/fig_lifetime1572.png

(a) Phonon lifetime due to phonon-phonon scattering

../../_images/fig_scat_rates1571.png

(b) Phonon scattering rates

Cumulative and spectral thermal conductivity

../../_images/fig_cumu_frequency1572.png

(a) Spectral and cumulative thermal conductivity w.r.t frequency

../../_images/fig_cumu_mfp1572.png

(b) Spectral and cumulative thermal conductivity w.r.t MFP

Force constants

../../_images/fig_fc23321.png

(a) Force constants w.r.t atomic distance

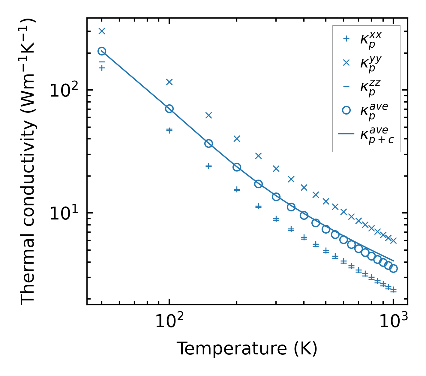
Summary

../../_images/fig_kappa3042.png

(a) Temperature-dependent lattice thermal conductivity

../../_images/fig_times6091.png

(b) Computation time