mp-755213/YbCO3/anharm

Equation of state

../../_images/fig_bm1797.png

(a) Equation of state

Harmonic properties

../../_images/fig_bandos_pr3661.png

(a) Phonon dispersion with participation ratio and DOS

../../_images/fig_thermo3661.png

(b) Thermodynamic properties

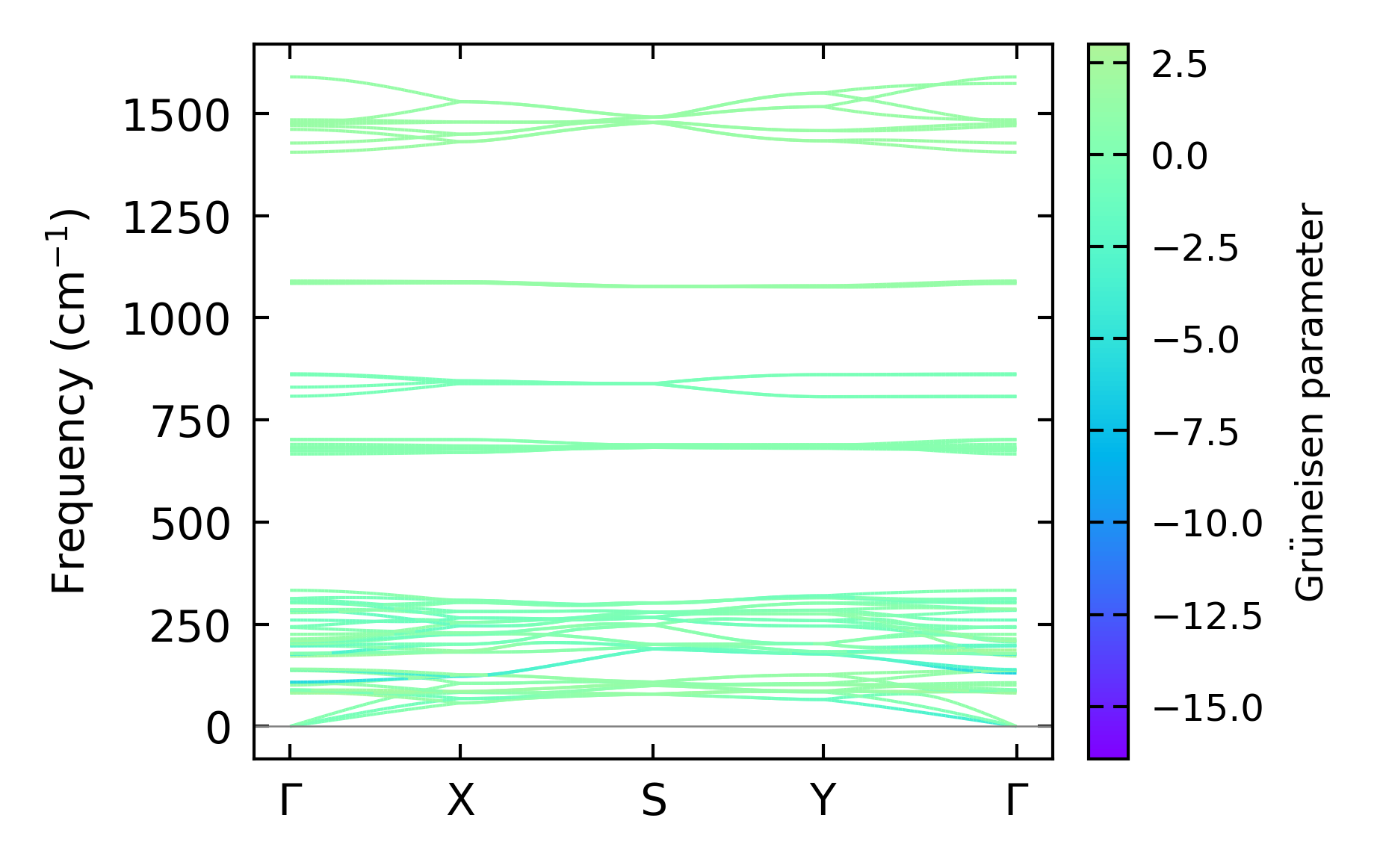
Grüneisen parameters

../../_images/fig_gru_all1649.png

(a) Grüneisen parameters

../../_images/fig_gruneisen1649.png

(b) Phonon dispersion with Grüneisen parameters

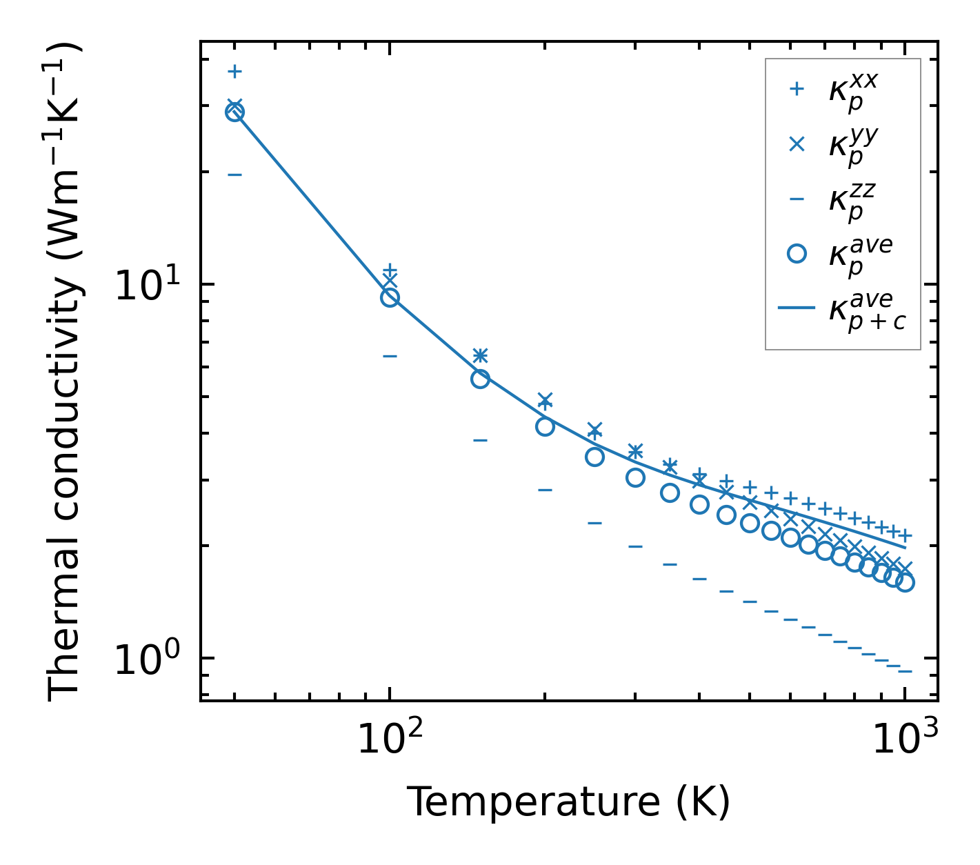
Thermal conductivity

3-phonon (LASSO) — q-mesh: 13x14x9, supercell: 2x2x1

../../_images/fig_kappa3173.png

(a) Temperature-dependent lattice thermal conductivity

../../_images/fig_kappa_vs_grain_size1672.png

(b) Peierls lattice thermal conductivity w.r.t grain size

Phonon lifetime and scattering rates

../../_images/fig_lifetime1639.png

(a) Phonon lifetime due to phonon-phonon scattering

../../_images/fig_scat_rates1638.png

(b) Phonon scattering rates

Cumulative and spectral thermal conductivity

../../_images/fig_cumu_frequency1639.png

(a) Spectral and cumulative thermal conductivity w.r.t frequency

../../_images/fig_cumu_mfp1639.png

(b) Spectral and cumulative thermal conductivity w.r.t MFP

Force constants

../../_images/fig_fc23478.png

(a) Force constants w.r.t atomic distance

Summary

../../_images/fig_kappa3174.png

(a) Temperature-dependent lattice thermal conductivity

../../_images/fig_times6366.png

(b) Computation time