mp-755738/Rb2O/anharm

Equation of state

../../_images/fig_bm1682.png

(a) Equation of state

Harmonic properties

../../_images/fig_bandos_pr3470.png

(a) Phonon dispersion with participation ratio and DOS

../../_images/fig_thermo3470.png

(b) Thermodynamic properties

Grüneisen parameters

../../_images/fig_gru_all1568.png

(a) Grüneisen parameters

../../_images/fig_gruneisen1568.png

(b) Phonon dispersion with Grüneisen parameters

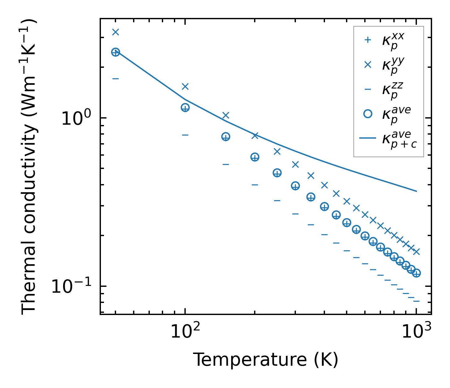
Thermal conductivity

3-phonon (LASSO) — q-mesh: 10x15x8, supercell: 2x3x2

../../_images/fig_kappa3012.png

(a) Temperature-dependent lattice thermal conductivity

../../_images/fig_kappa_vs_grain_size1588.png

(b) Peierls lattice thermal conductivity w.r.t grain size

Phonon lifetime and scattering rates

../../_images/fig_lifetime1558.png

(a) Phonon lifetime due to phonon-phonon scattering

../../_images/fig_scat_rates1557.png

(b) Phonon scattering rates

Cumulative and spectral thermal conductivity

../../_images/fig_cumu_frequency1558.png

(a) Spectral and cumulative thermal conductivity w.r.t frequency

../../_images/fig_cumu_mfp1558.png

(b) Spectral and cumulative thermal conductivity w.r.t MFP

Force constants

../../_images/fig_fc23288.png

(a) Force constants w.r.t atomic distance

Summary

../../_images/fig_kappa3013.png

(a) Temperature-dependent lattice thermal conductivity

../../_images/fig_times6025.png

(b) Computation time