mp-755004/CsInO2/anharm

Harmonic properties

../../_images/fig_bandos_pr3632.png

(a) Phonon dispersion with participation ratio and DOS

../../_images/fig_thermo3632.png

(b) Thermodynamic properties

Grüneisen parameters

../../_images/fig_gru_all1629.png

(a) Grüneisen parameters

../../_images/fig_gruneisen1629.png

(b) Phonon dispersion with Grüneisen parameters

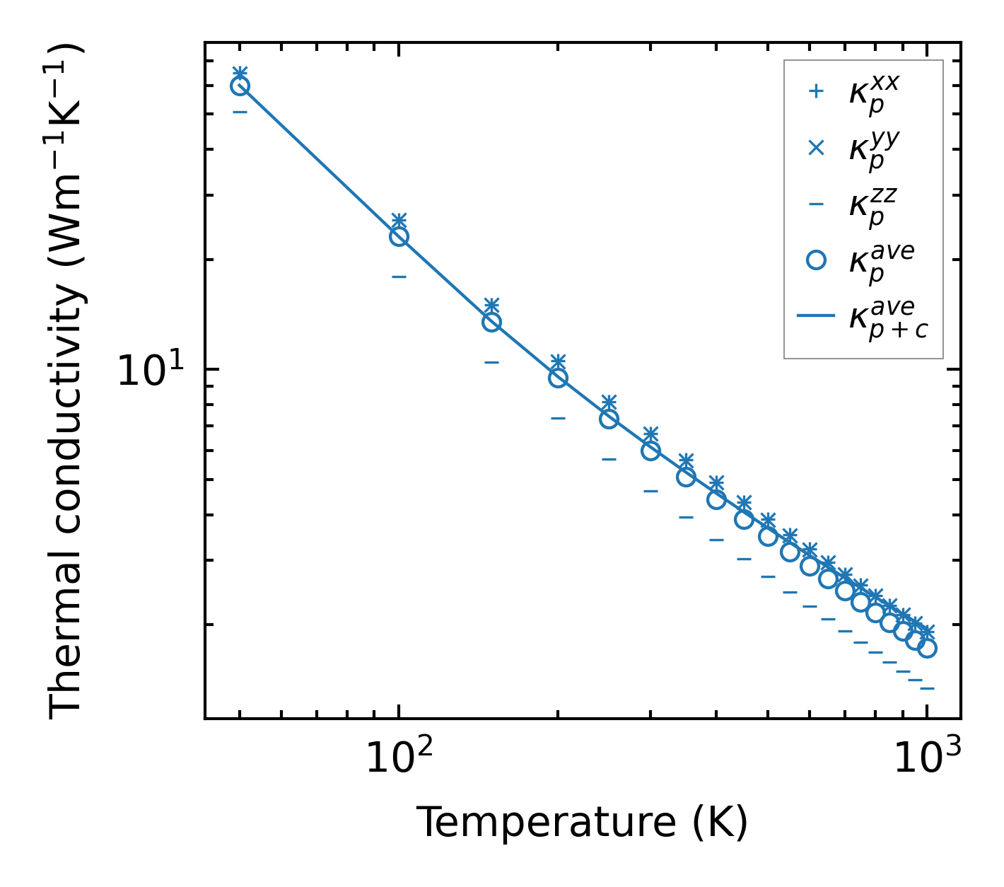
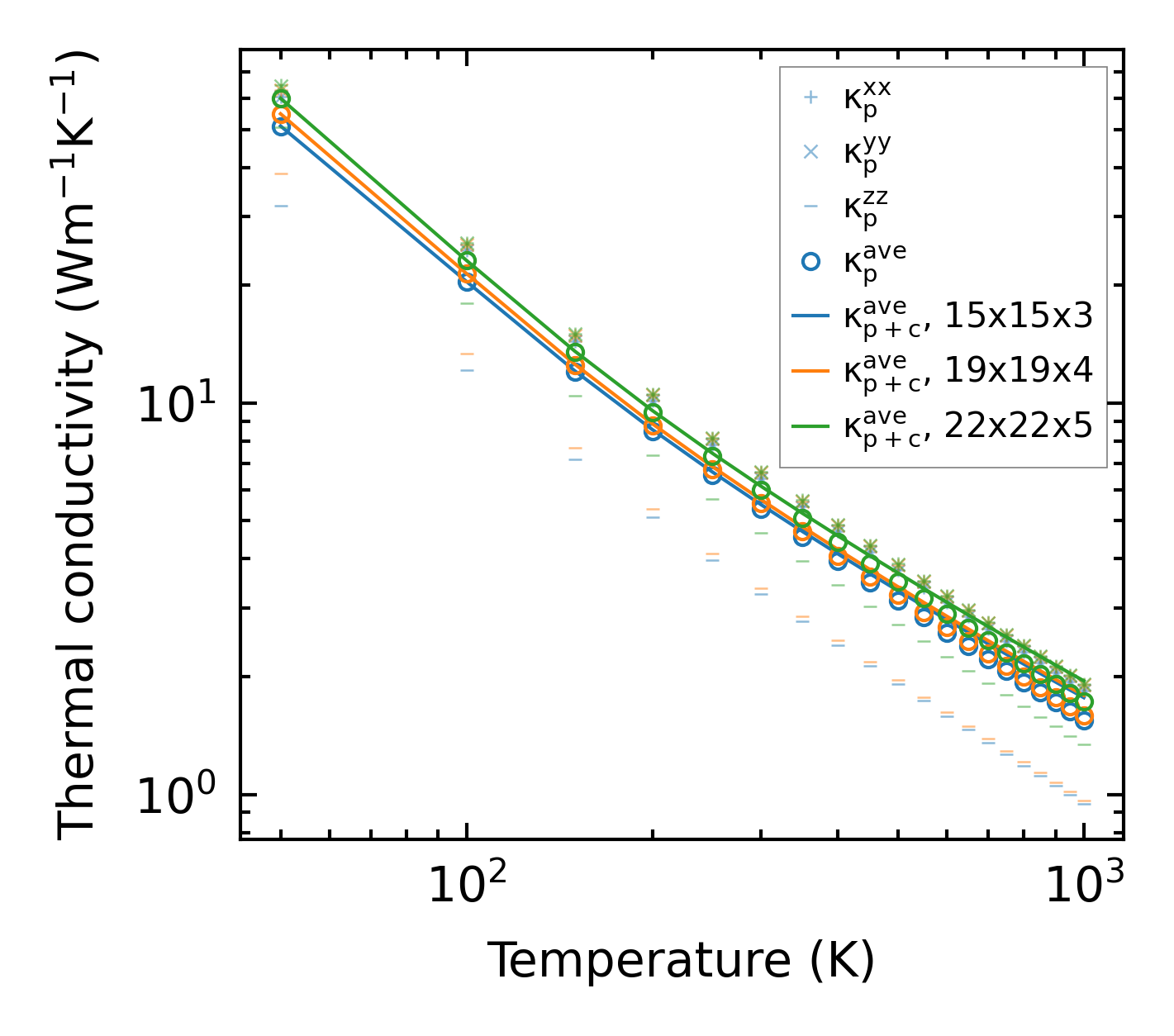
Thermal conductivity

3-phonon (LASSO) — q-mesh: 22x22x5, supercell: 4x4x1

../../_images/fig_kappa3134.png

(a) Temperature-dependent lattice thermal conductivity

../../_images/fig_kappa_vs_grain_size1651.png

(b) Peierls lattice thermal conductivity w.r.t grain size

Phonon lifetime and scattering rates

../../_images/fig_lifetime1619.png

(a) Phonon lifetime due to phonon-phonon scattering

../../_images/fig_scat_rates1618.png

(b) Phonon scattering rates

Cumulative and spectral thermal conductivity

../../_images/fig_cumu_frequency1619.png

(a) Spectral and cumulative thermal conductivity w.r.t frequency

../../_images/fig_cumu_mfp1619.png

(b) Spectral and cumulative thermal conductivity w.r.t MFP

Force constants

../../_images/fig_fc23449.png

(a) Force constants w.r.t atomic distance

Summary

../../_images/fig_kappa3135.png

(a) Temperature-dependent lattice thermal conductivity

../../_images/fig_times6322.png

(b) Computation time