mp-755659-2/DyHO2/anharm

Equation of state

../../_images/fig_bm1669.png

(a) Equation of state

Harmonic properties

../../_images/fig_bandos_pr3457.png

(a) Phonon dispersion with participation ratio and DOS

../../_images/fig_bandos4604.png

(b) Phonon dispersion and DOS

../../_images/fig_thermo3457.png

(c) Thermodynamic properties

Grüneisen parameters

../../_images/fig_gru_all1565.png

(a) Grüneisen parameters

../../_images/fig_gruneisen1565.png

(b) Phonon dispersion with Grüneisen parameters

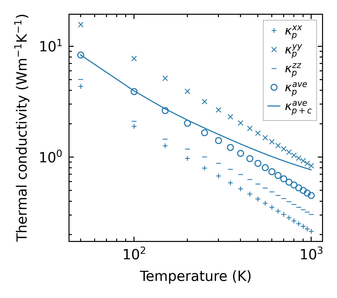
Thermal conductivity

3-phonon (LASSO), supercell 1x4x3 — q-mesh: 6x20x14, supercell: 1x4x3

../../_images/fig_kappa3008.png

(a) Temperature-dependent lattice thermal conductivity

../../_images/fig_kappa_vs_grain_size1585.png

(b) Peierls lattice thermal conductivity w.r.t grain size

Phonon lifetime and scattering rates

../../_images/fig_lifetime1555.png

(a) Phonon lifetime due to phonon-phonon scattering

../../_images/fig_scat_rates1554.png

(b) Phonon scattering rates

Cumulative and spectral thermal conductivity

../../_images/fig_cumu_frequency1555.png

(a) Spectral and cumulative thermal conductivity w.r.t frequency

../../_images/fig_cumu_mfp1555.png

(b) Spectral and cumulative thermal conductivity w.r.t MFP

Force constants

../../_images/fig_fc23275.png

(a) Force constants w.r.t atomic distance

Summary

../../_images/fig_times5999.png

(a) Computation time