mp-755346/Li5BO4/anharm

Harmonic properties

../../_images/fig_bandos_pr3683.png

(a) Phonon dispersion with participation ratio and DOS

../../_images/fig_thermo3683.png

(b) Thermodynamic properties

Grüneisen parameters

../../_images/fig_gru_all1663.png

(a) Grüneisen parameters

../../_images/fig_gruneisen1663.png

(b) Phonon dispersion with Grüneisen parameters

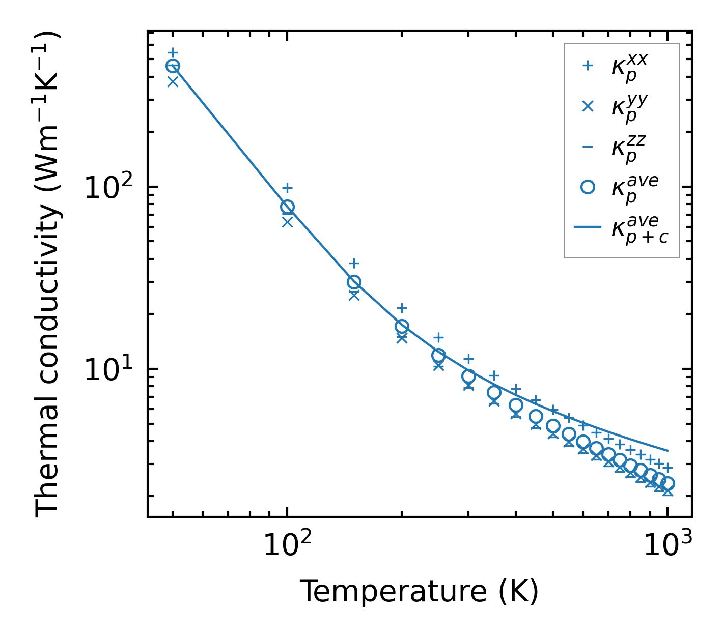
Thermal conductivity

3-phonon (LASSO) — q-mesh: 12x11x15, supercell: 2x1x2

../../_images/fig_kappa3200.png

(a) Temperature-dependent lattice thermal conductivity

../../_images/fig_kappa_vs_grain_size1686.png

(b) Peierls lattice thermal conductivity w.r.t grain size

Phonon lifetime and scattering rates

../../_images/fig_lifetime1653.png

(a) Phonon lifetime due to phonon-phonon scattering

../../_images/fig_scat_rates1652.png

(b) Phonon scattering rates

Cumulative and spectral thermal conductivity

../../_images/fig_cumu_frequency1653.png

(a) Spectral and cumulative thermal conductivity w.r.t frequency

../../_images/fig_cumu_mfp1653.png

(b) Spectral and cumulative thermal conductivity w.r.t MFP

Force constants

../../_images/fig_fc23499.png

(a) Force constants w.r.t atomic distance

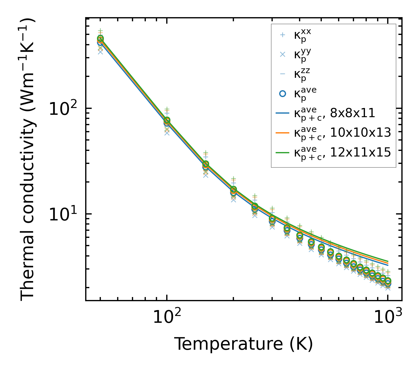
Summary

../../_images/fig_kappa3201.png

(a) Temperature-dependent lattice thermal conductivity

../../_images/fig_times6401.png

(b) Computation time