mp-755287/Ca3CdO4/anharm

Harmonic properties

../../_images/fig_bandos_pr3671.png

(a) Phonon dispersion with participation ratio and DOS

../../_images/fig_thermo3671.png

(b) Thermodynamic properties

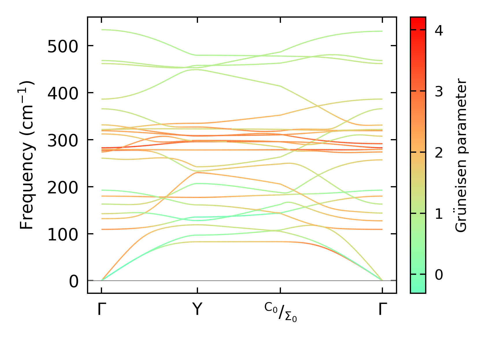
Grüneisen parameters

../../_images/fig_gru_all1656.png

(a) Grüneisen parameters

../../_images/fig_gruneisen1656.png

(b) Phonon dispersion with Grüneisen parameters

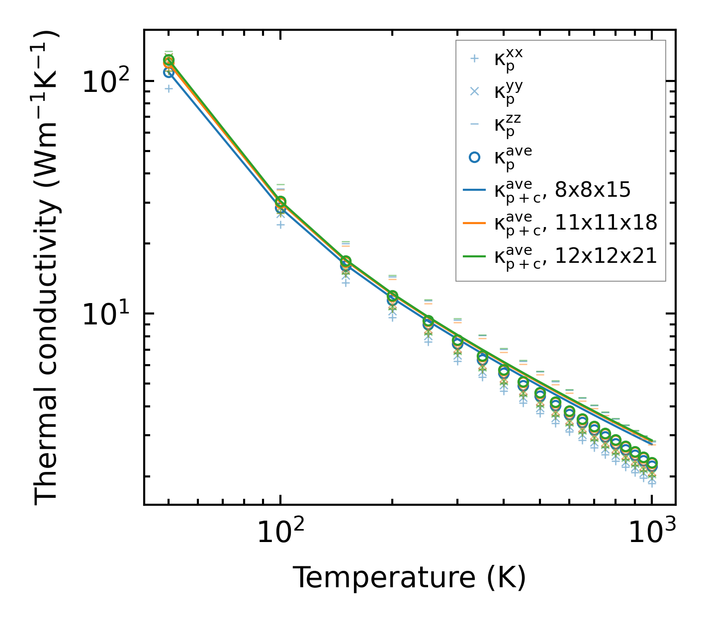
Thermal conductivity

3-phonon (LASSO) — q-mesh: 12x12x21, supercell: 2x1x3

../../_images/fig_kappa3186.png

(a) Temperature-dependent lattice thermal conductivity

../../_images/fig_kappa_vs_grain_size1679.png

(b) Peierls lattice thermal conductivity w.r.t grain size

Phonon lifetime and scattering rates

../../_images/fig_lifetime1646.png

(a) Phonon lifetime due to phonon-phonon scattering

../../_images/fig_scat_rates1645.png

(b) Phonon scattering rates

Cumulative and spectral thermal conductivity

../../_images/fig_cumu_frequency1646.png

(a) Spectral and cumulative thermal conductivity w.r.t frequency

../../_images/fig_cumu_mfp1646.png

(b) Spectral and cumulative thermal conductivity w.r.t MFP

Force constants

../../_images/fig_fc23488.png

(a) Force constants w.r.t atomic distance

Summary

../../_images/fig_kappa3187.png

(a) Temperature-dependent lattice thermal conductivity

../../_images/fig_times6382.png

(b) Computation time