mp-755804/Lu6TeO12/anharm

Harmonic properties

../../_images/fig_bandos_pr3488.png

(a) Phonon dispersion with participation ratio and DOS

../../_images/fig_thermo3488.png

(b) Thermodynamic properties

Grüneisen parameters

../../_images/fig_gru_all1576.png

(a) Grüneisen parameters

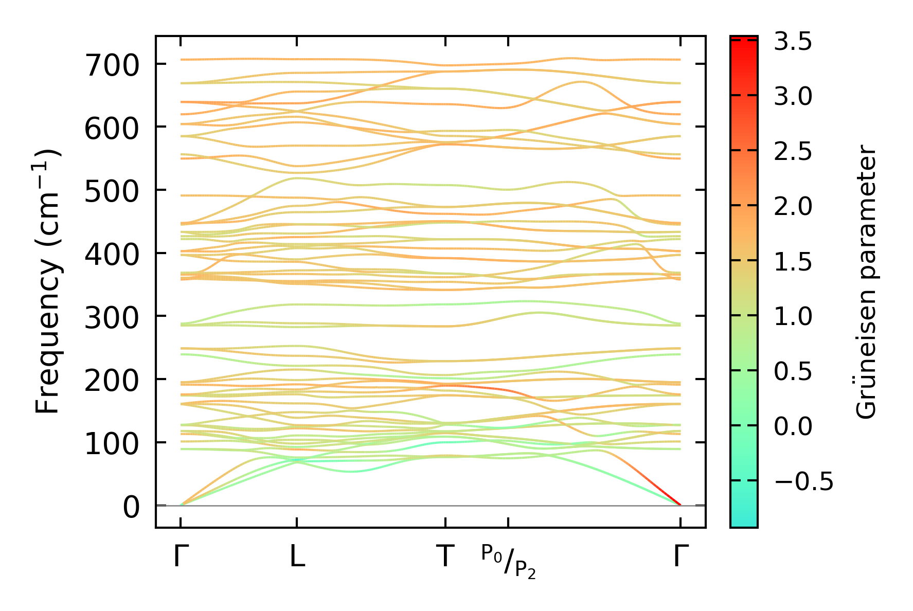
../../_images/fig_gruneisen1576.png

(b) Phonon dispersion with Grüneisen parameters

Thermal conductivity

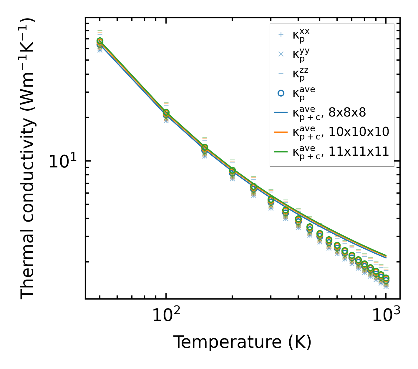
3-phonon (LASSO) — q-mesh: 11x11x11, supercell: 1x1x2

../../_images/fig_kappa3029.png

(a) Temperature-dependent lattice thermal conductivity

../../_images/fig_kappa_vs_grain_size1597.png

(b) Peierls lattice thermal conductivity w.r.t grain size

Phonon lifetime and scattering rates

../../_images/fig_lifetime1566.png

(a) Phonon lifetime due to phonon-phonon scattering

../../_images/fig_scat_rates1565.png

(b) Phonon scattering rates

Cumulative and spectral thermal conductivity

../../_images/fig_cumu_frequency1566.png

(a) Spectral and cumulative thermal conductivity w.r.t frequency

../../_images/fig_cumu_mfp1566.png

(b) Spectral and cumulative thermal conductivity w.r.t MFP

Force constants

../../_images/fig_fc23306.png

(a) Force constants w.r.t atomic distance

Summary

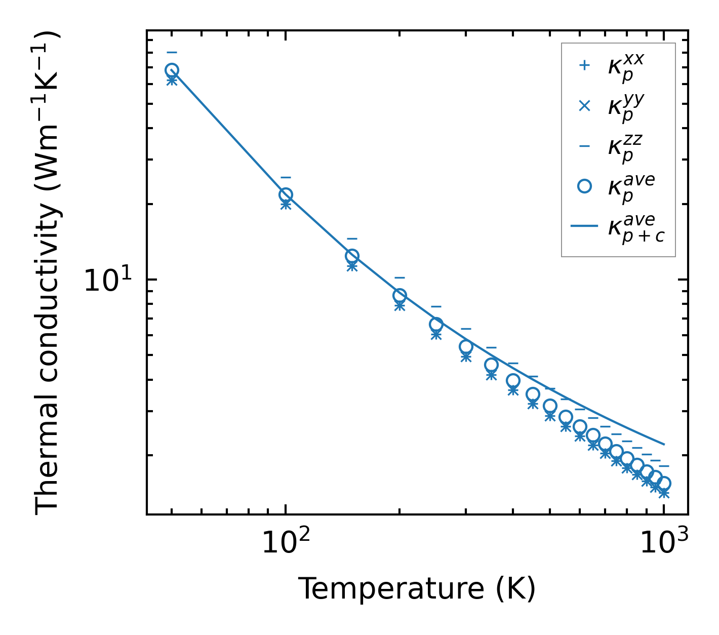
../../_images/fig_kappa3030.png

(a) Temperature-dependent lattice thermal conductivity

../../_images/fig_times6062.png

(b) Computation time