mp-755072/Na2O/anharm

Harmonic properties

../../_images/fig_bandos_pr3644.png

(a) Phonon dispersion with participation ratio and DOS

../../_images/fig_thermo3644.png

(b) Thermodynamic properties

Grüneisen parameters

../../_images/fig_gru_all1636.png

(a) Grüneisen parameters

../../_images/fig_gruneisen1636.png

(b) Phonon dispersion with Grüneisen parameters

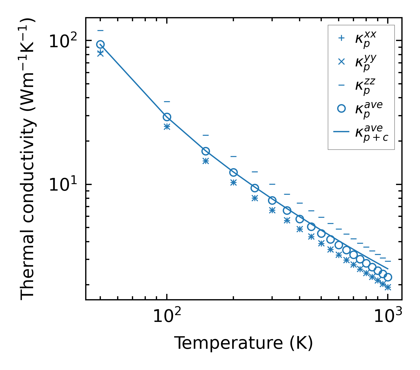
Thermal conductivity

3-phonon (LASSO) — q-mesh: 13x13x19, supercell: 3x2x3

../../_images/fig_kappa3146.png

(a) Temperature-dependent lattice thermal conductivity

../../_images/fig_kappa_vs_grain_size1658.png

(b) Peierls lattice thermal conductivity w.r.t grain size

Phonon lifetime and scattering rates

../../_images/fig_lifetime1626.png

(a) Phonon lifetime due to phonon-phonon scattering

../../_images/fig_scat_rates1625.png

(b) Phonon scattering rates

Cumulative and spectral thermal conductivity

../../_images/fig_cumu_frequency1626.png

(a) Spectral and cumulative thermal conductivity w.r.t frequency

../../_images/fig_cumu_mfp1626.png

(b) Spectral and cumulative thermal conductivity w.r.t MFP

Force constants

../../_images/fig_fc23461.png

(a) Force constants w.r.t atomic distance

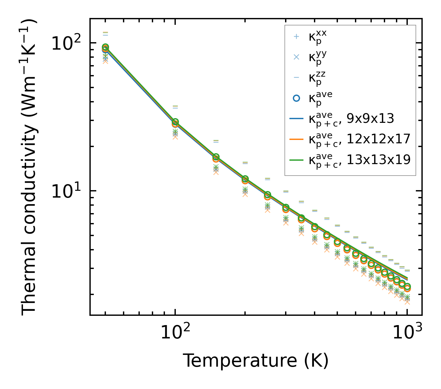
Summary

../../_images/fig_kappa3147.png

(a) Temperature-dependent lattice thermal conductivity

../../_images/fig_times6338.png

(b) Computation time