mp-755788/TlCoO3/anharm

Harmonic properties

../../_images/fig_bandos_pr3481.png

(a) Phonon dispersion with participation ratio and DOS

../../_images/fig_thermo3481.png

(b) Thermodynamic properties

Grüneisen parameters

../../_images/fig_gru_all1573.png

(a) Grüneisen parameters

../../_images/fig_gruneisen1573.png

(b) Phonon dispersion with Grüneisen parameters

Thermal conductivity

3-phonon (LASSO) — q-mesh: 14x14x14, supercell: 2x2x1

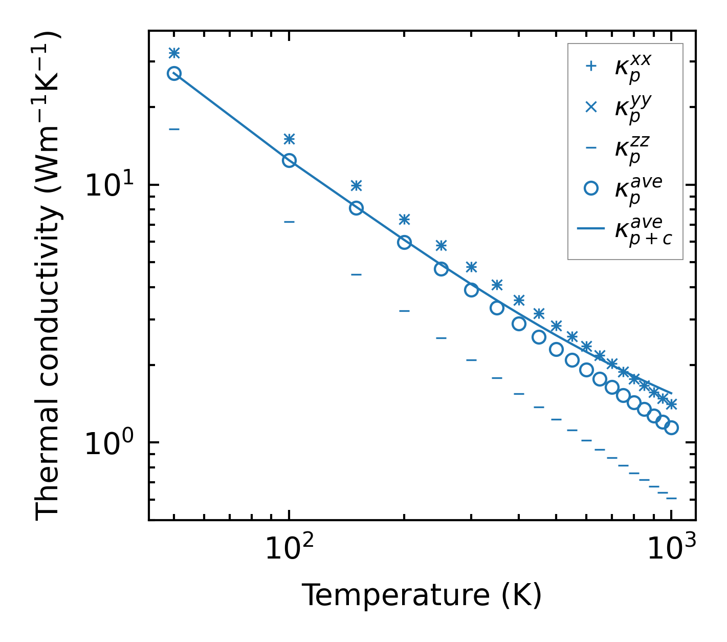
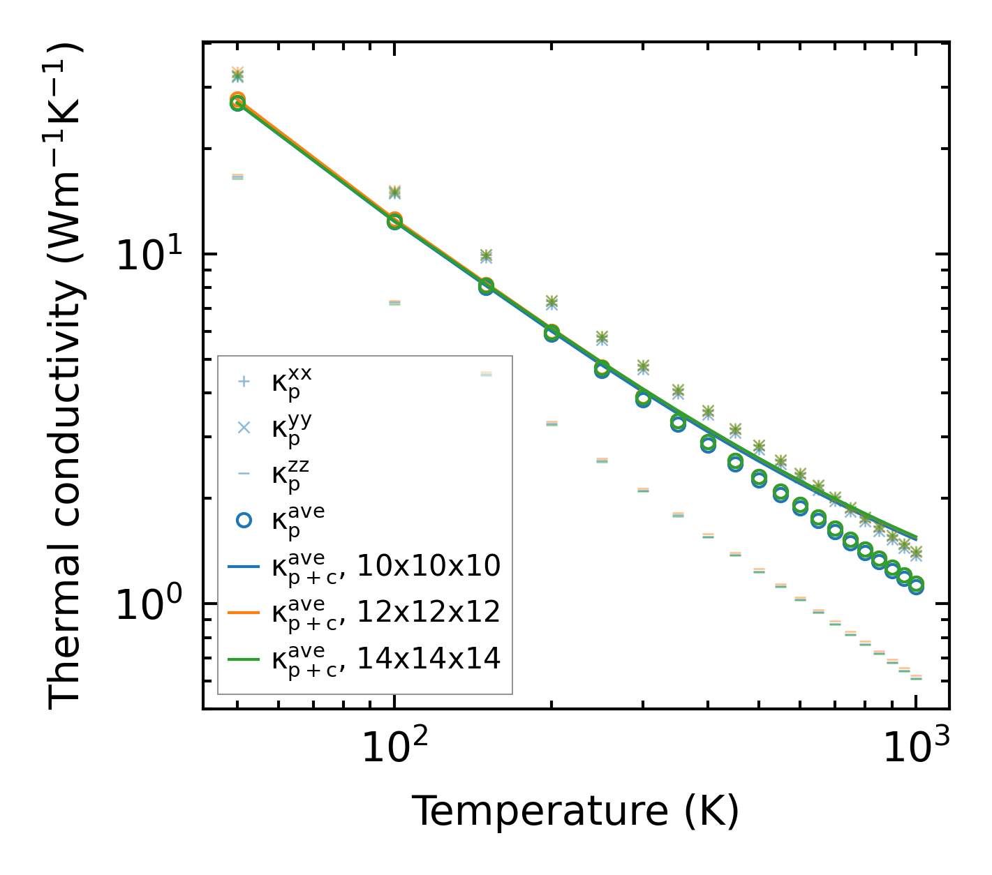
../../_images/fig_kappa3023.png

(a) Temperature-dependent lattice thermal conductivity

../../_images/fig_kappa_vs_grain_size1594.png

(b) Peierls lattice thermal conductivity w.r.t grain size

Phonon lifetime and scattering rates

../../_images/fig_lifetime1563.png

(a) Phonon lifetime due to phonon-phonon scattering

../../_images/fig_scat_rates1562.png

(b) Phonon scattering rates

Cumulative and spectral thermal conductivity

../../_images/fig_cumu_frequency1563.png

(a) Spectral and cumulative thermal conductivity w.r.t frequency

../../_images/fig_cumu_mfp1563.png

(b) Spectral and cumulative thermal conductivity w.r.t MFP

Force constants

../../_images/fig_fc23299.png

(a) Force constants w.r.t atomic distance

Summary

../../_images/fig_kappa3024.png

(a) Temperature-dependent lattice thermal conductivity

../../_images/fig_times6051.png

(b) Computation time