mp-755752-2/Rb2Be2O3/anharm

Equation of state

../../_images/fig_bm1687.png

(a) Equation of state

Harmonic properties

../../_images/fig_bandos_pr3475.png

(a) Phonon dispersion with participation ratio and DOS

../../_images/fig_thermo3475.png

(b) Thermodynamic properties

Grüneisen parameters

../../_images/fig_gru_all1569.png

(a) Grüneisen parameters

../../_images/fig_gruneisen1569.png

(b) Phonon dispersion with Grüneisen parameters

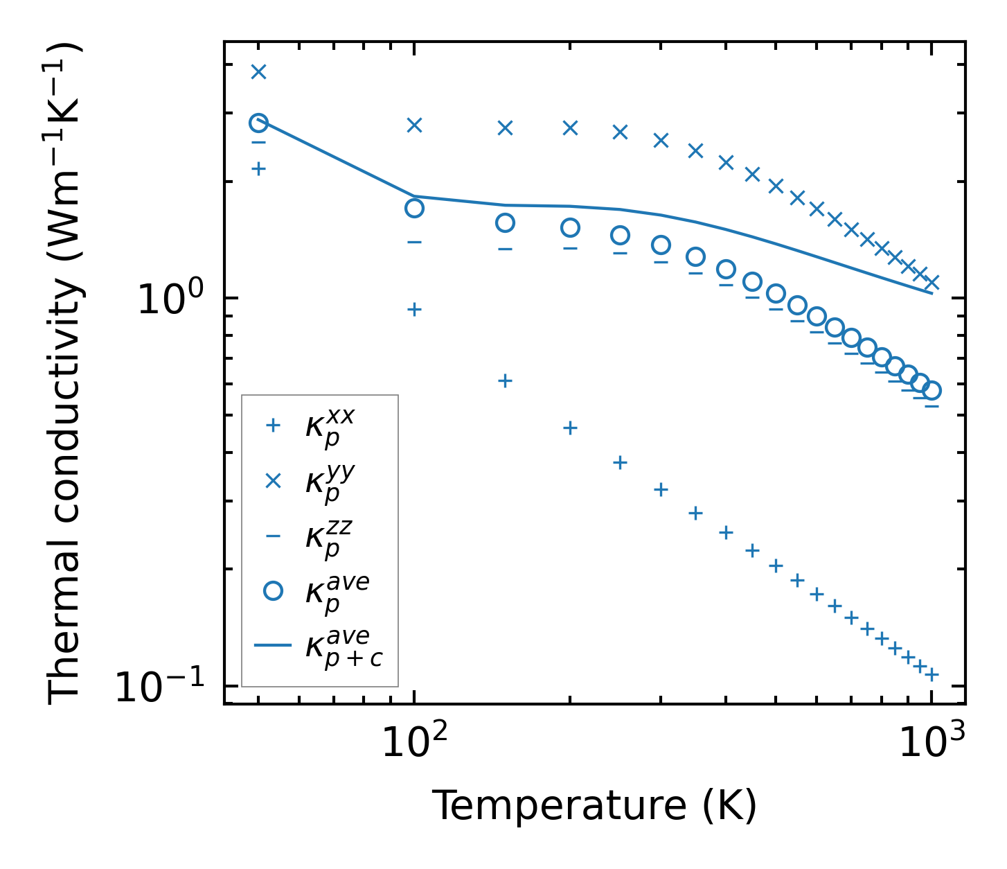
Thermal conductivity

3-phonon (LASSO) — q-mesh: 6x13x9, supercell: 1x2x2

../../_images/fig_kappa3014.png

(a) Temperature-dependent lattice thermal conductivity

../../_images/fig_kappa_vs_grain_size1589.png

(b) Peierls lattice thermal conductivity w.r.t grain size

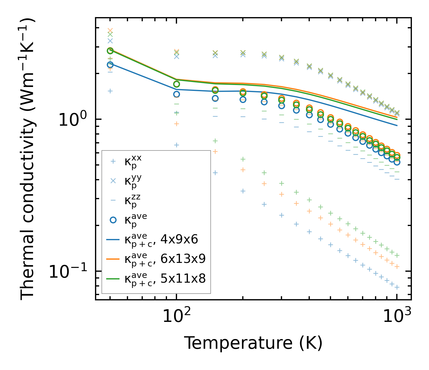
3-phonon (LASSO), supercell 2x2x2 — q-mesh: 6x13x9, supercell: 2x2x2

../../_images/fig_kappa3015.png

(a) Temperature-dependent lattice thermal conductivity

../../_images/fig_kappa_vs_grain_size1590.png

(b) Peierls lattice thermal conductivity w.r.t grain size

Phonon lifetime and scattering rates

../../_images/fig_lifetime1559.png

(a) Phonon lifetime due to phonon-phonon scattering

../../_images/fig_scat_rates1558.png

(b) Phonon scattering rates

Cumulative and spectral thermal conductivity

../../_images/fig_cumu_frequency1559.png

(a) Spectral and cumulative thermal conductivity w.r.t frequency

../../_images/fig_cumu_mfp1559.png

(b) Spectral and cumulative thermal conductivity w.r.t MFP

Force constants

../../_images/fig_fc23293.png

(a) Force constants w.r.t atomic distance

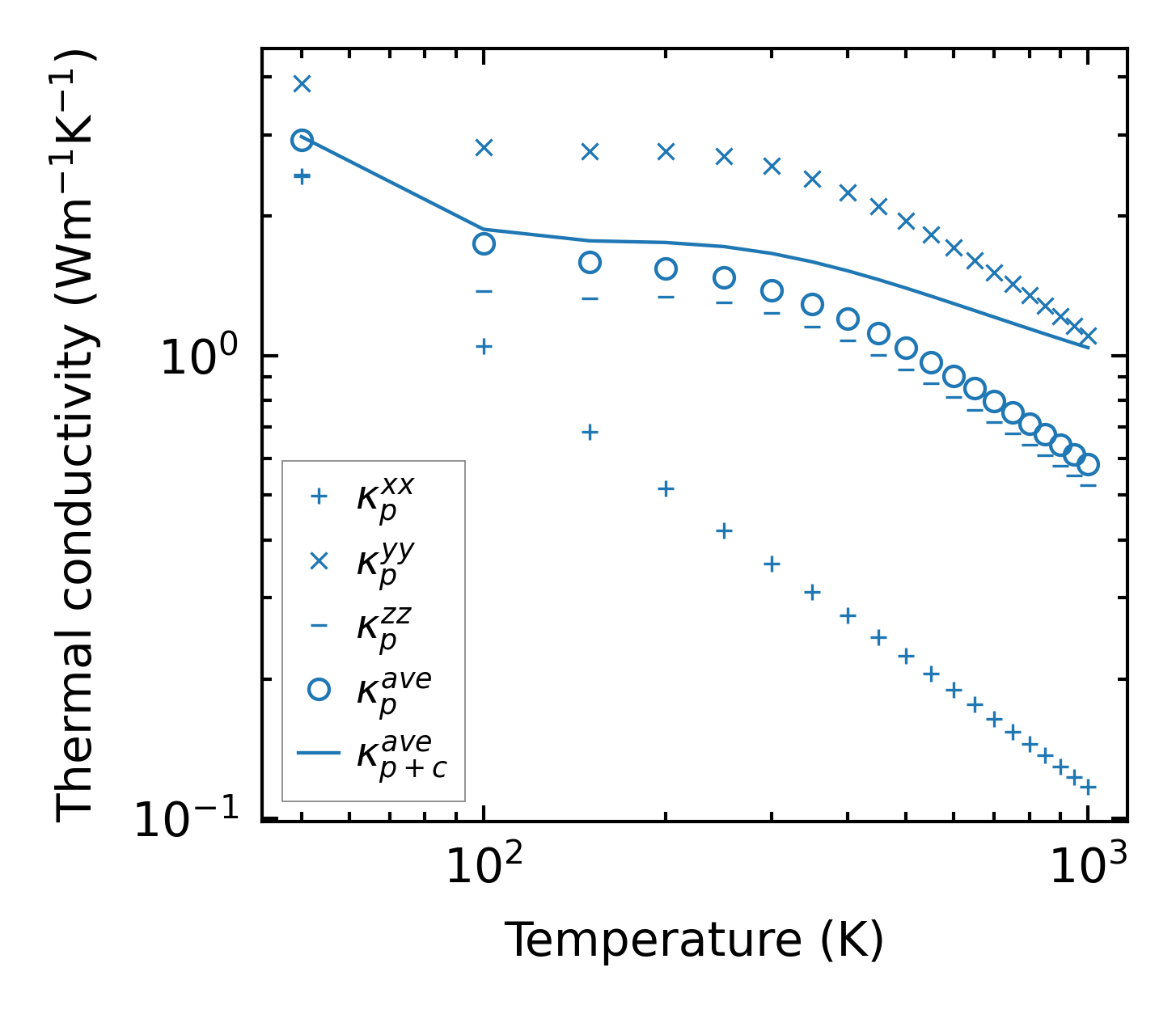
Summary

../../_images/fig_kappa3016.png

(a) Temperature-dependent lattice thermal conductivity

../../_images/fig_times6035.png

(b) Computation time