mp-755781/TbNbO4/anharm

Harmonic properties

../../_images/fig_bandos_pr3480.png

(a) Phonon dispersion with participation ratio and DOS

../../_images/fig_thermo3480.png

(b) Thermodynamic properties

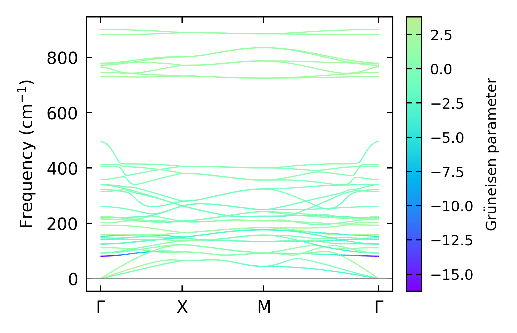
Grüneisen parameters

../../_images/fig_gru_all1572.png

(a) Grüneisen parameters

../../_images/fig_gruneisen1572.png

(b) Phonon dispersion with Grüneisen parameters

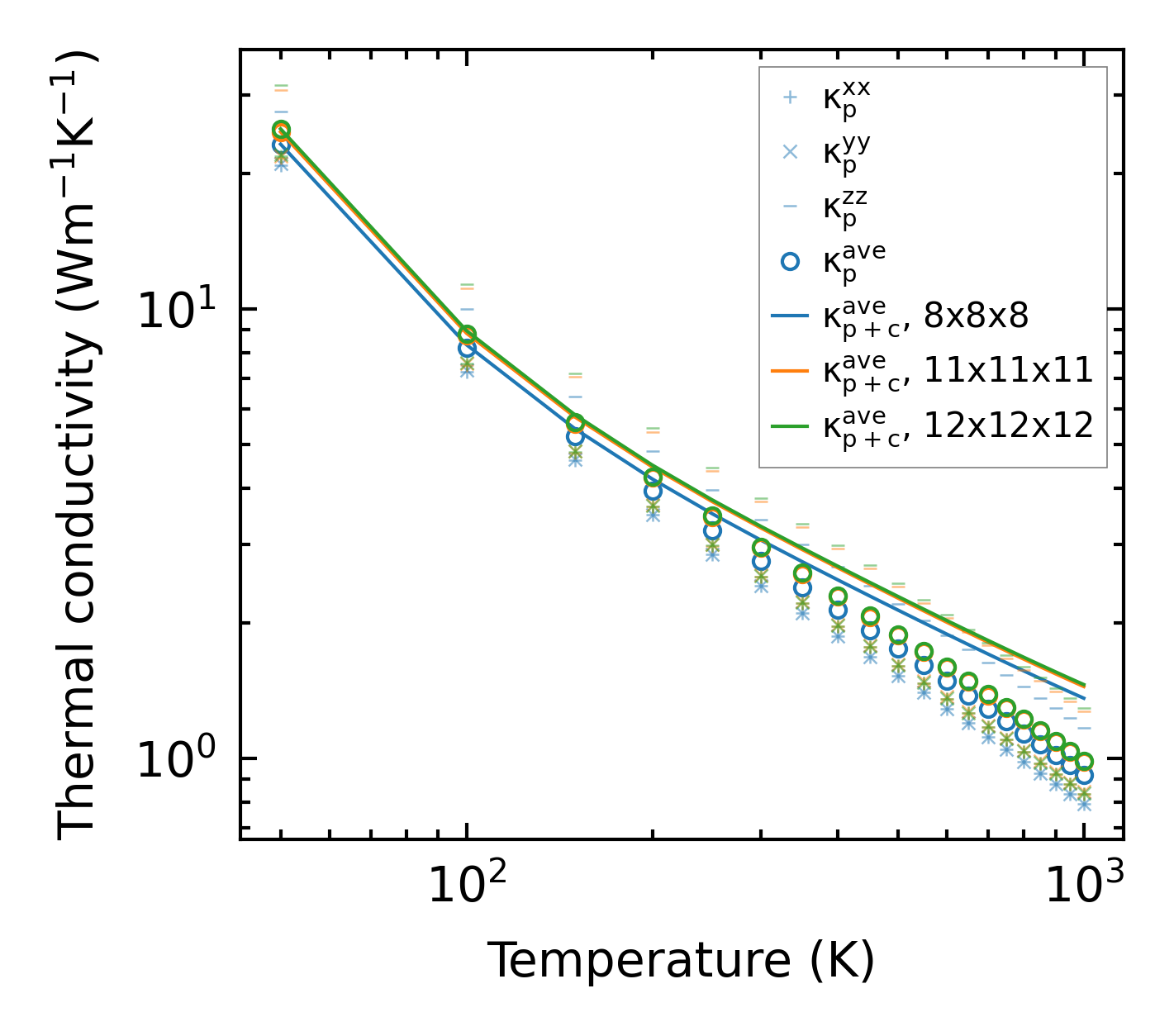
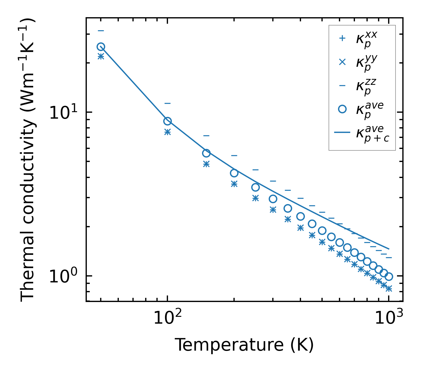
Thermal conductivity

3-phonon (LASSO) — q-mesh: 12x12x12, supercell: 1x1x2

../../_images/fig_kappa3021.png

(a) Temperature-dependent lattice thermal conductivity

../../_images/fig_kappa_vs_grain_size1593.png

(b) Peierls lattice thermal conductivity w.r.t grain size

Phonon lifetime and scattering rates

../../_images/fig_lifetime1562.png

(a) Phonon lifetime due to phonon-phonon scattering

../../_images/fig_scat_rates1561.png

(b) Phonon scattering rates

Cumulative and spectral thermal conductivity

../../_images/fig_cumu_frequency1562.png

(a) Spectral and cumulative thermal conductivity w.r.t frequency

../../_images/fig_cumu_mfp1562.png

(b) Spectral and cumulative thermal conductivity w.r.t MFP

Force constants

../../_images/fig_fc23298.png

(a) Force constants w.r.t atomic distance

Summary

../../_images/fig_kappa3022.png

(a) Temperature-dependent lattice thermal conductivity

../../_images/fig_times6048.png

(b) Computation time