mp-755896/ZnCrO4/anharm

Harmonic properties

../../_images/fig_bandos_pr3497.png

(a) Phonon dispersion with participation ratio and DOS

../../_images/fig_thermo3497.png

(b) Thermodynamic properties

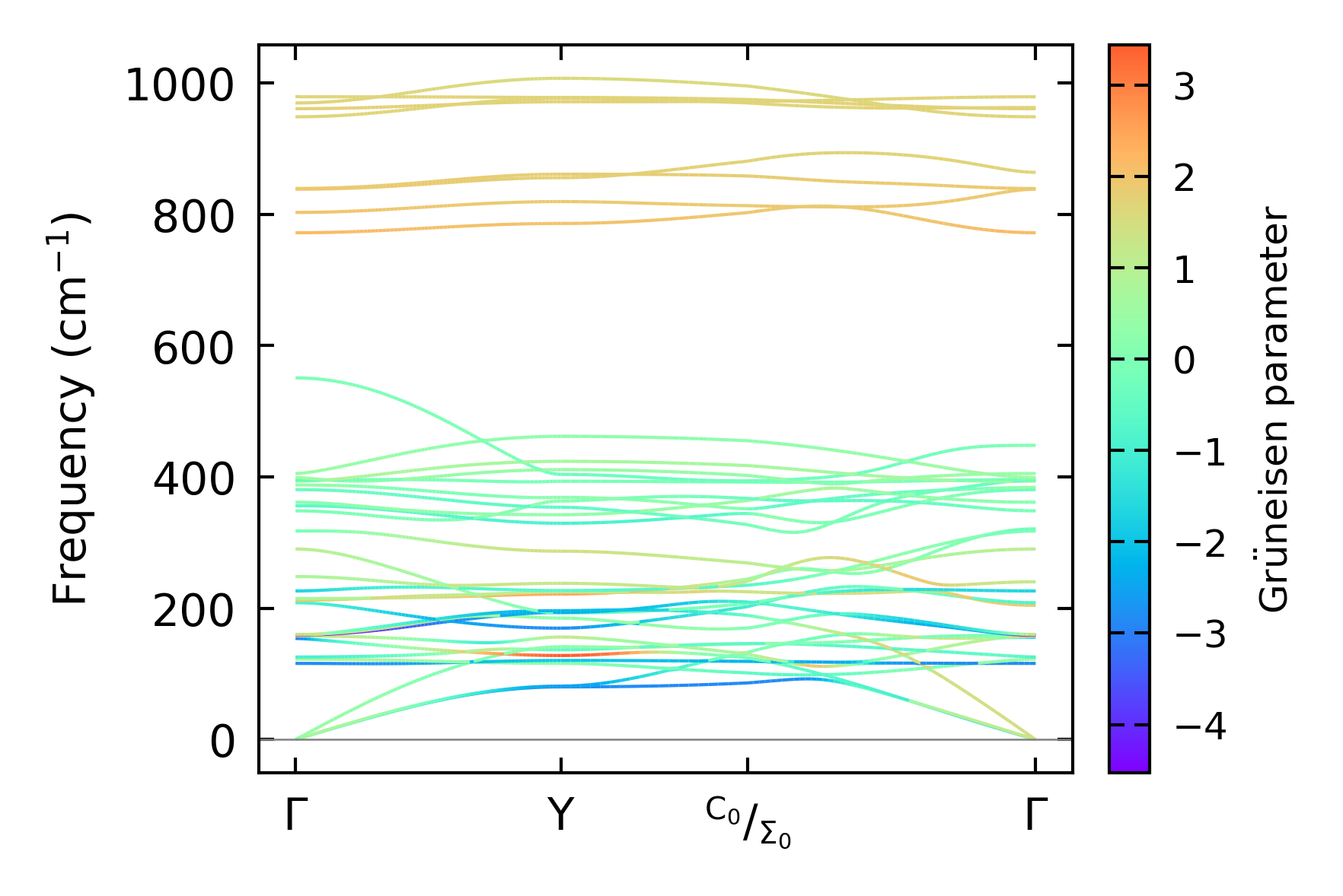
Grüneisen parameters

../../_images/fig_gru_all1581.png

(a) Grüneisen parameters

../../_images/fig_gruneisen1581.png

(b) Phonon dispersion with Grüneisen parameters

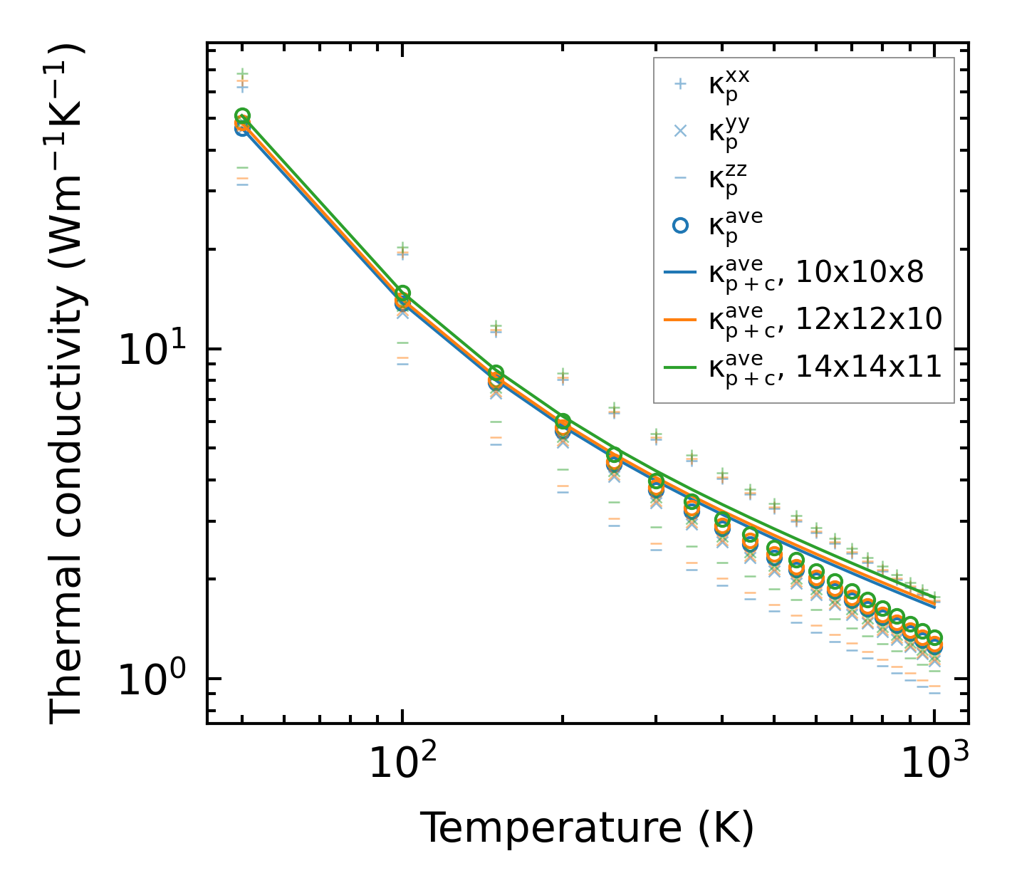
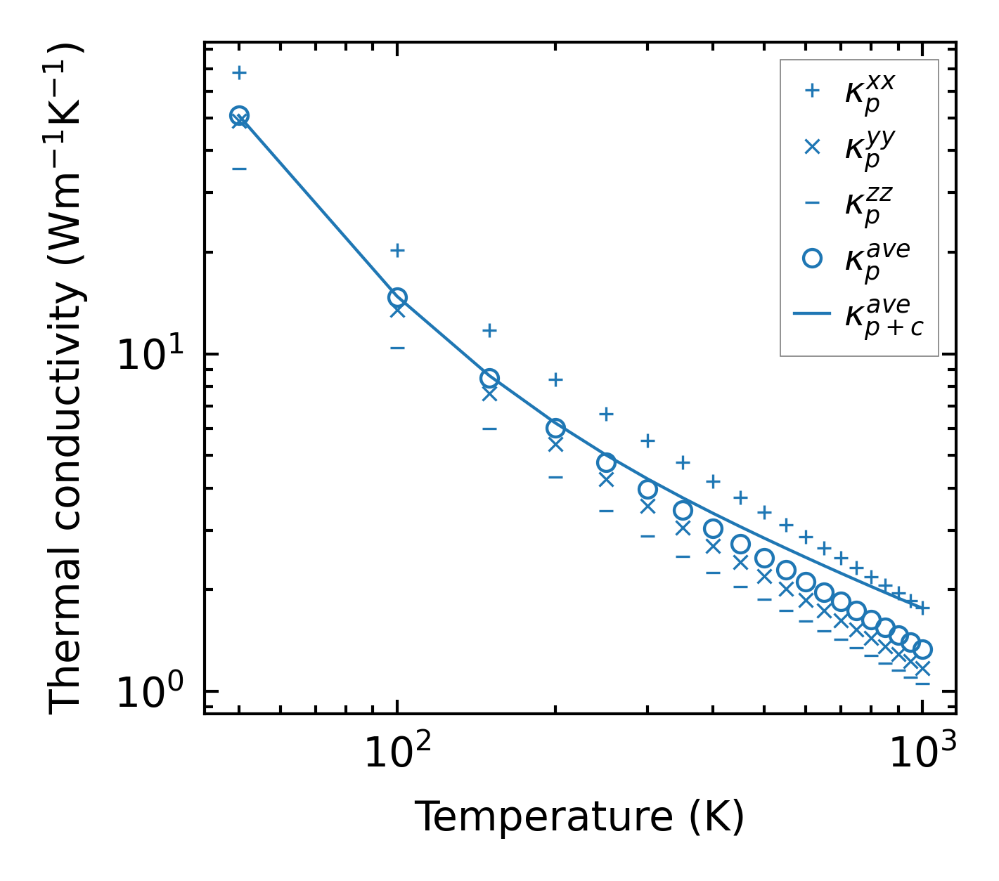
Thermal conductivity

3-phonon (LASSO) — q-mesh: 14x14x11, supercell: 2x1x2

../../_images/fig_kappa3039.png

(a) Temperature-dependent lattice thermal conductivity

../../_images/fig_kappa_vs_grain_size1602.png

(b) Peierls lattice thermal conductivity w.r.t grain size

Phonon lifetime and scattering rates

../../_images/fig_lifetime1571.png

(a) Phonon lifetime due to phonon-phonon scattering

../../_images/fig_scat_rates1570.png

(b) Phonon scattering rates

Cumulative and spectral thermal conductivity

../../_images/fig_cumu_frequency1571.png

(a) Spectral and cumulative thermal conductivity w.r.t frequency

../../_images/fig_cumu_mfp1571.png

(b) Spectral and cumulative thermal conductivity w.r.t MFP

Force constants

../../_images/fig_fc23315.png

(a) Force constants w.r.t atomic distance

Summary

../../_images/fig_kappa3040.png

(a) Temperature-dependent lattice thermal conductivity

../../_images/fig_times6085.png

(b) Computation time