mp-755633/K5Se3/anharm

Harmonic properties

../../_images/fig_bandos_pr3445.png

(a) Phonon dispersion with participation ratio and DOS

../../_images/fig_thermo3445.png

(b) Thermodynamic properties

Grüneisen parameters

../../_images/fig_gru_all1562.png

(a) Grüneisen parameters

../../_images/fig_gruneisen1562.png

(b) Phonon dispersion with Grüneisen parameters

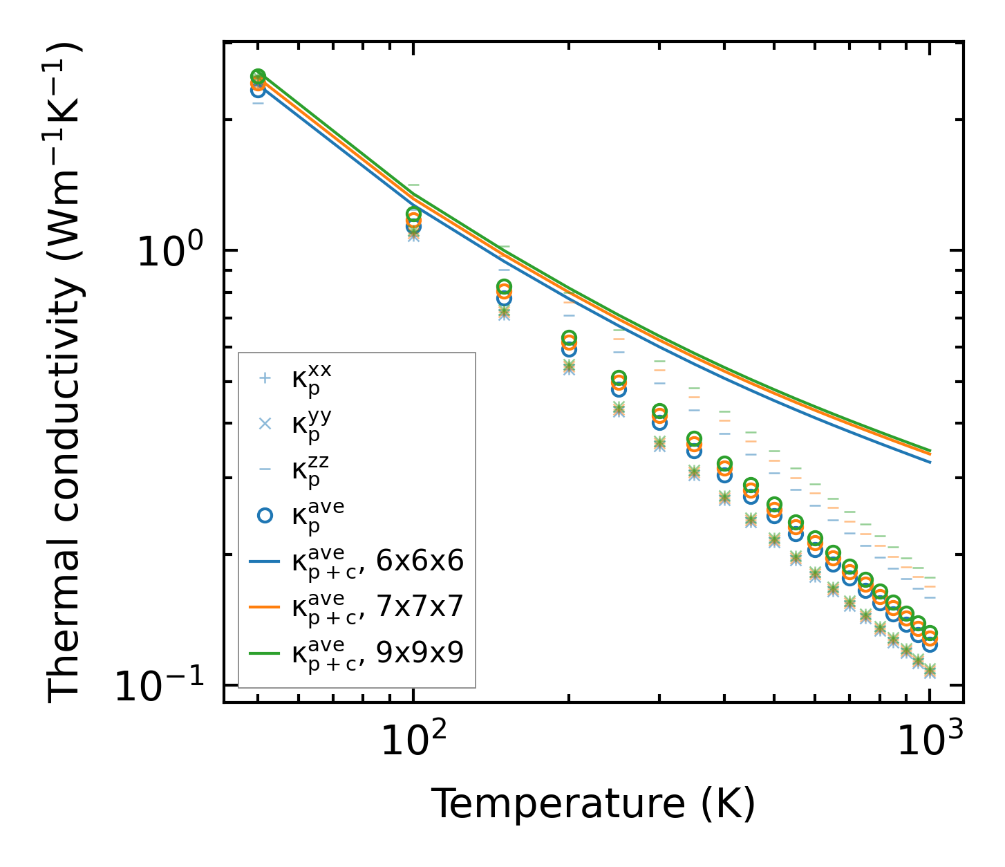
Thermal conductivity

3-phonon (LASSO) — q-mesh: 9x9x9, supercell: 1x1x3

../../_images/fig_kappa3003.png

(a) Temperature-dependent lattice thermal conductivity

../../_images/fig_kappa_vs_grain_size1582.png

(b) Peierls lattice thermal conductivity w.r.t grain size

Phonon lifetime and scattering rates

../../_images/fig_lifetime1552.png

(a) Phonon lifetime due to phonon-phonon scattering

../../_images/fig_scat_rates1551.png

(b) Phonon scattering rates

Cumulative and spectral thermal conductivity

../../_images/fig_cumu_frequency1552.png

(a) Spectral and cumulative thermal conductivity w.r.t frequency

../../_images/fig_cumu_mfp1552.png

(b) Spectral and cumulative thermal conductivity w.r.t MFP

Force constants

../../_images/fig_fc23263.png

(a) Force constants w.r.t atomic distance

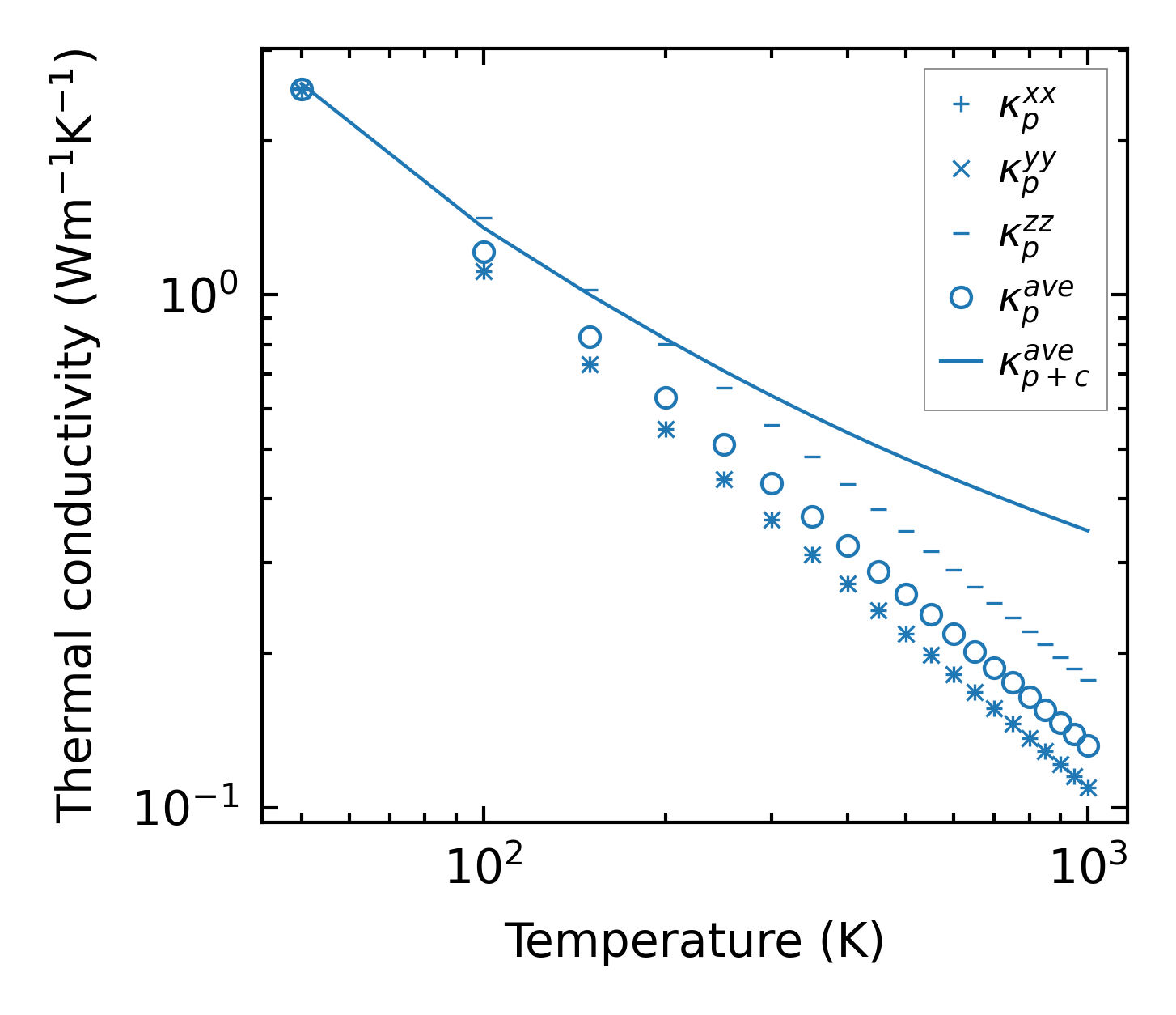
Summary

../../_images/fig_kappa3004.png

(a) Temperature-dependent lattice thermal conductivity

../../_images/fig_times5986.png

(b) Computation time