mp-755448/Rb2SnO3/anharm

Equation of state

../../_images/fig_bm1629.png

(a) Equation of state

Harmonic properties

../../_images/fig_bandos_pr3403.png

(a) Phonon dispersion with participation ratio and DOS

../../_images/fig_thermo3403.png

(b) Thermodynamic properties

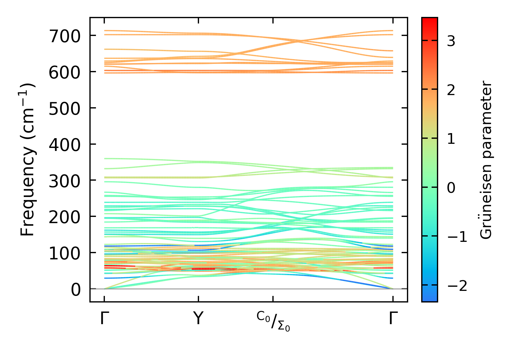
Grüneisen parameters

../../_images/fig_gru_all1540.png

(a) Grüneisen parameters

../../_images/fig_gruneisen1540.png

(b) Phonon dispersion with Grüneisen parameters

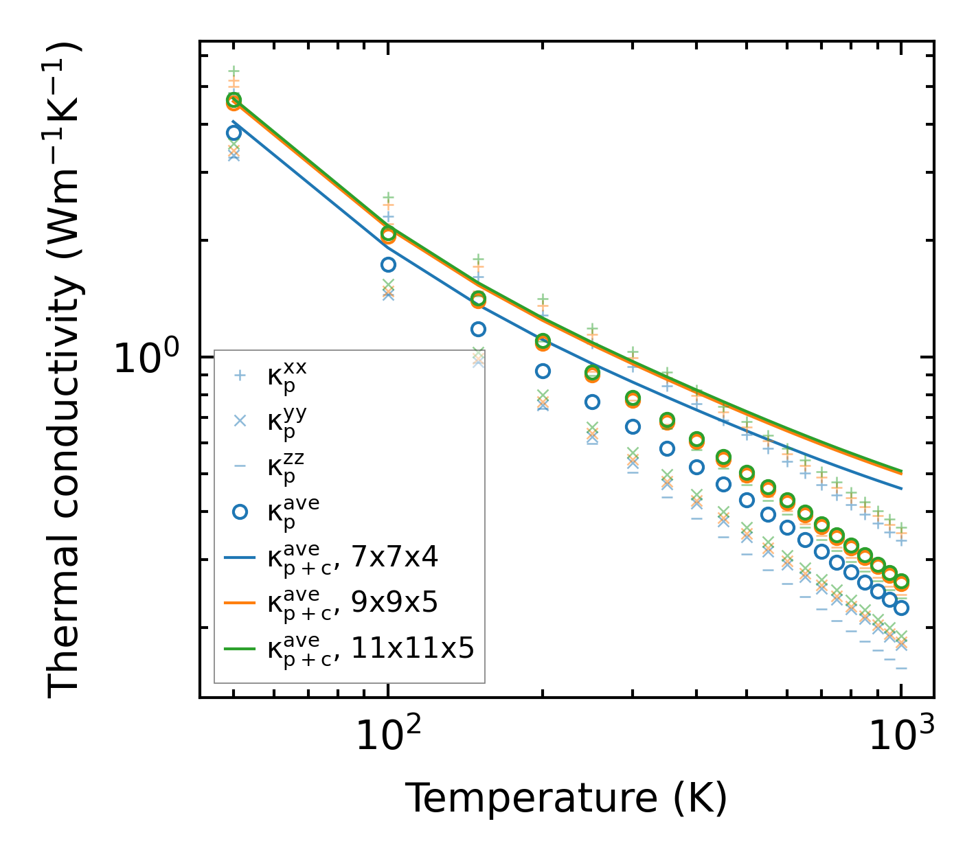
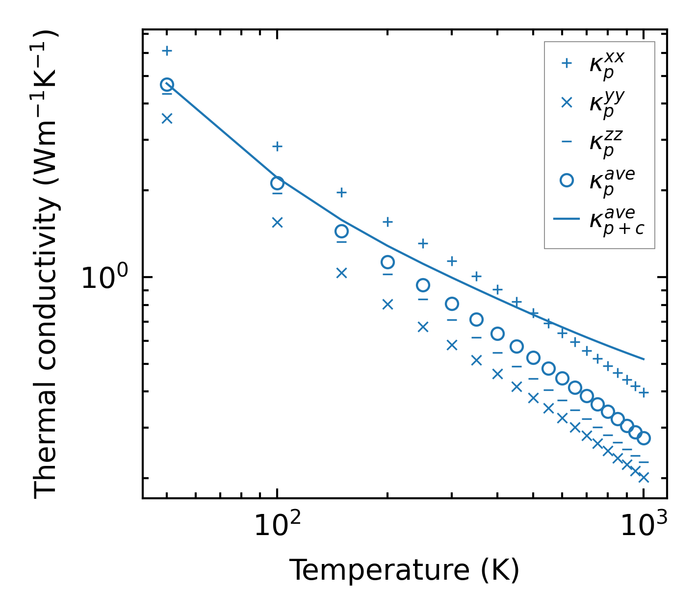
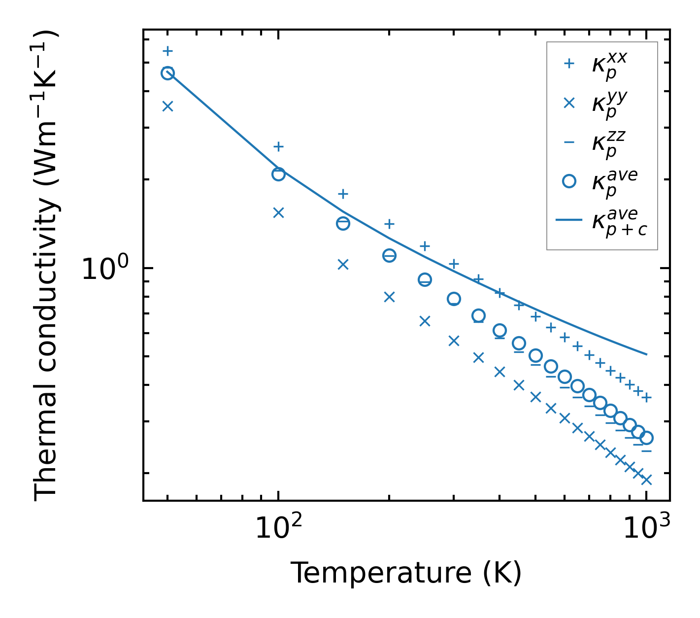
Thermal conductivity

3-phonon (LASSO) — q-mesh: 11x11x5, supercell: 3x1x1

../../_images/fig_kappa2960.png

(a) Temperature-dependent lattice thermal conductivity

../../_images/fig_kappa_vs_grain_size1559.png

(b) Peierls lattice thermal conductivity w.r.t grain size

3-phonon (LASSO), supercell 3x2x1 — q-mesh: 11x11x5, supercell: 3x2x1

../../_images/fig_kappa2961.png

(a) Temperature-dependent lattice thermal conductivity

../../_images/fig_kappa_vs_grain_size1560.png

(b) Peierls lattice thermal conductivity w.r.t grain size

Phonon lifetime and scattering rates

../../_images/fig_lifetime1530.png

(a) Phonon lifetime due to phonon-phonon scattering

../../_images/fig_scat_rates1529.png

(b) Phonon scattering rates

Cumulative and spectral thermal conductivity

../../_images/fig_cumu_frequency1530.png

(a) Spectral and cumulative thermal conductivity w.r.t frequency

../../_images/fig_cumu_mfp1530.png

(b) Spectral and cumulative thermal conductivity w.r.t MFP

Force constants

../../_images/fig_fc23222.png

(a) Force constants w.r.t atomic distance

Summary

../../_images/fig_kappa2962.png

(a) Temperature-dependent lattice thermal conductivity

../../_images/fig_times5908.png

(b) Computation time