mp-755401/Na3CuO2/anharm

Harmonic properties

../../_images/fig_bandos_pr3697.png

(a) Phonon dispersion with participation ratio and DOS

../../_images/fig_thermo3697.png

(b) Thermodynamic properties

Grüneisen parameters

../../_images/fig_gru_all1670.png

(a) Grüneisen parameters

../../_images/fig_gruneisen1670.png

(b) Phonon dispersion with Grüneisen parameters

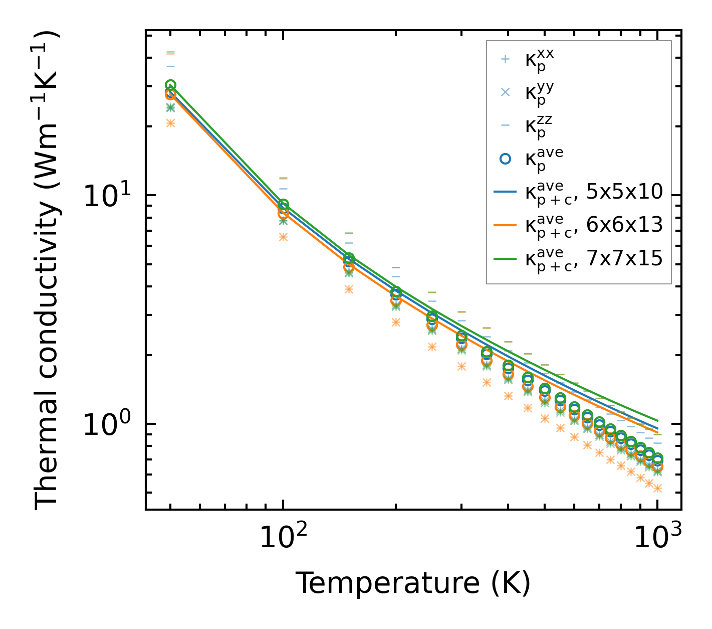
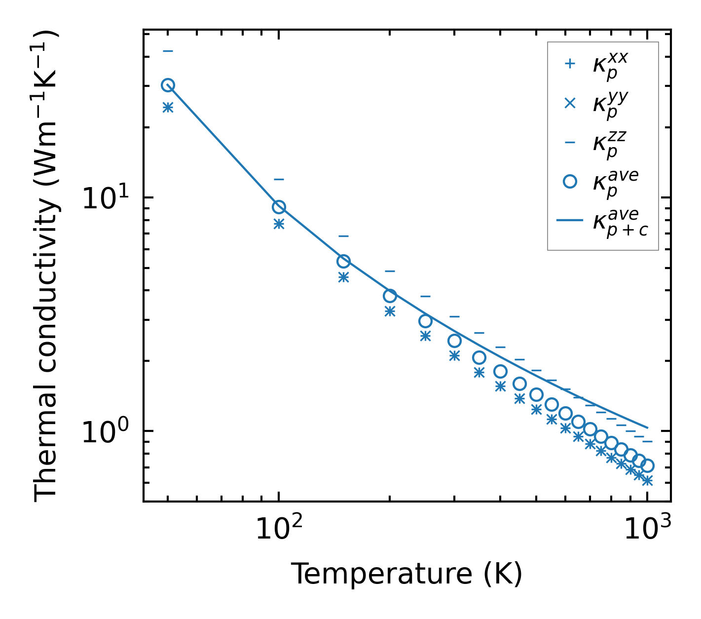
Thermal conductivity

3-phonon (LASSO) — q-mesh: 7x7x15, supercell: 1x1x3

../../_images/fig_kappa3212.png

(a) Temperature-dependent lattice thermal conductivity

../../_images/fig_kappa_vs_grain_size1693.png

(b) Peierls lattice thermal conductivity w.r.t grain size

Phonon lifetime and scattering rates

../../_images/fig_lifetime1660.png

(a) Phonon lifetime due to phonon-phonon scattering

../../_images/fig_scat_rates1659.png

(b) Phonon scattering rates

Cumulative and spectral thermal conductivity

../../_images/fig_cumu_frequency1660.png

(a) Spectral and cumulative thermal conductivity w.r.t frequency

../../_images/fig_cumu_mfp1660.png

(b) Spectral and cumulative thermal conductivity w.r.t MFP

Force constants

../../_images/fig_fc23513.png

(a) Force constants w.r.t atomic distance

Summary

../../_images/fig_kappa3213.png

(a) Temperature-dependent lattice thermal conductivity

../../_images/fig_times6423.png

(b) Computation time