mp-755428/Rb3ClO/anharm

Harmonic properties

../../_images/fig_bandos_pr3399.png

(a) Phonon dispersion with participation ratio and DOS

../../_images/fig_thermo3399.png

(b) Thermodynamic properties

Grüneisen parameters

../../_images/fig_gru_all1539.png

(a) Grüneisen parameters

../../_images/fig_gruneisen1539.png

(b) Phonon dispersion with Grüneisen parameters

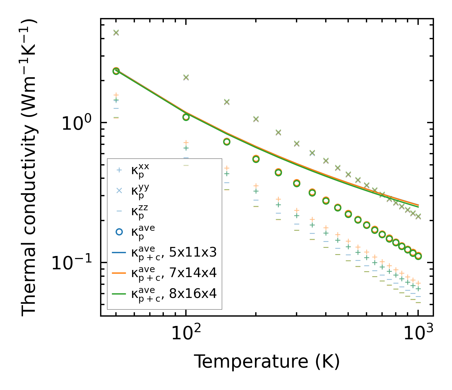
Thermal conductivity

3-phonon (LASSO) — q-mesh: 8x16x4, supercell: 2x3x1

../../_images/fig_kappa2958.png

(a) Temperature-dependent lattice thermal conductivity

../../_images/fig_kappa_vs_grain_size1558.png

(b) Peierls lattice thermal conductivity w.r.t grain size

Phonon lifetime and scattering rates

../../_images/fig_lifetime1529.png

(a) Phonon lifetime due to phonon-phonon scattering

../../_images/fig_scat_rates1528.png

(b) Phonon scattering rates

Cumulative and spectral thermal conductivity

../../_images/fig_cumu_frequency1529.png

(a) Spectral and cumulative thermal conductivity w.r.t frequency

../../_images/fig_cumu_mfp1529.png

(b) Spectral and cumulative thermal conductivity w.r.t MFP

Force constants

../../_images/fig_fc23218.png

(a) Force constants w.r.t atomic distance

Summary

../../_images/fig_kappa2959.png

(a) Temperature-dependent lattice thermal conductivity

../../_images/fig_times5904.png

(b) Computation time