mp-755478-2/CdBiO3/anharm

Equation of state

../../_images/fig_bm1635.png

(a) Equation of state

Harmonic properties

../../_images/fig_bandos_pr3411.png

(a) Phonon dispersion with participation ratio and DOS

../../_images/fig_thermo3411.png

(b) Thermodynamic properties

Grüneisen parameters

../../_images/fig_gru_all1544.png

(a) Grüneisen parameters

../../_images/fig_gruneisen1544.png

(b) Phonon dispersion with Grüneisen parameters

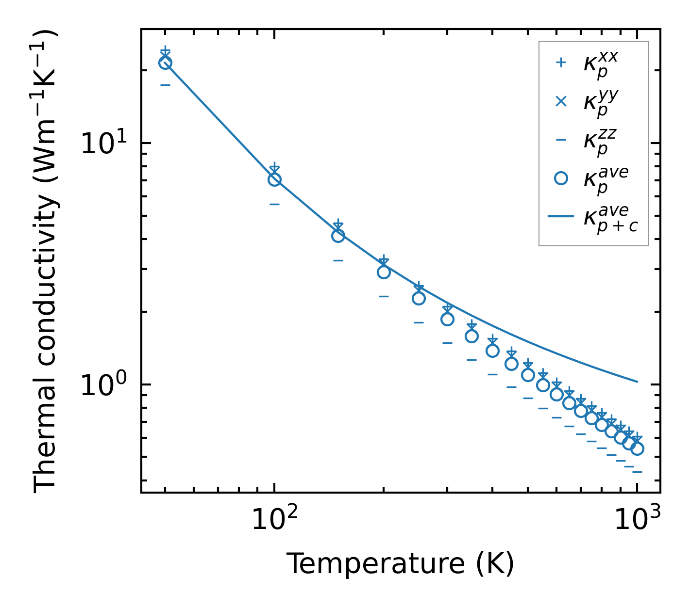
Thermal conductivity

3-phonon (LASSO) — q-mesh: 13x13x13, supercell: 2x2x1

../../_images/fig_kappa2968.png

(a) Temperature-dependent lattice thermal conductivity

../../_images/fig_kappa_vs_grain_size1564.png

(b) Peierls lattice thermal conductivity w.r.t grain size

Phonon lifetime and scattering rates

../../_images/fig_lifetime1534.png

(a) Phonon lifetime due to phonon-phonon scattering

../../_images/fig_scat_rates1533.png

(b) Phonon scattering rates

Cumulative and spectral thermal conductivity

../../_images/fig_cumu_frequency1534.png

(a) Spectral and cumulative thermal conductivity w.r.t frequency

../../_images/fig_cumu_mfp1534.png

(b) Spectral and cumulative thermal conductivity w.r.t MFP

Force constants

../../_images/fig_fc23230.png

(a) Force constants w.r.t atomic distance

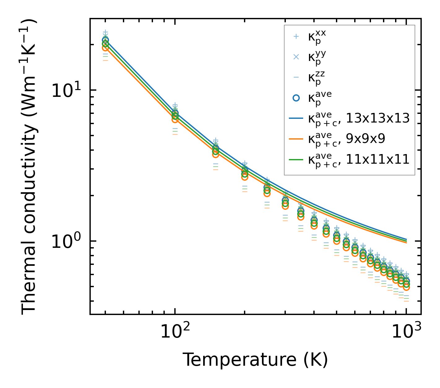
Summary

../../_images/fig_kappa2969.png

(a) Temperature-dependent lattice thermal conductivity

../../_images/fig_times5921.png

(b) Computation time