mp-755225-2/Li8ZrO6/anharm

Equation of state

../../_images/fig_bm1798.png

(a) Equation of state

Harmonic properties

../../_images/fig_bandos_pr3663.png

(a) Phonon dispersion with participation ratio and DOS

../../_images/fig_bandos4895.png

(b) Phonon dispersion and DOS

../../_images/fig_thermo3663.png

(c) Thermodynamic properties

Grüneisen parameters

../../_images/fig_gru_all1651.png

(a) Grüneisen parameters

../../_images/fig_gruneisen1651.png

(b) Phonon dispersion with Grüneisen parameters

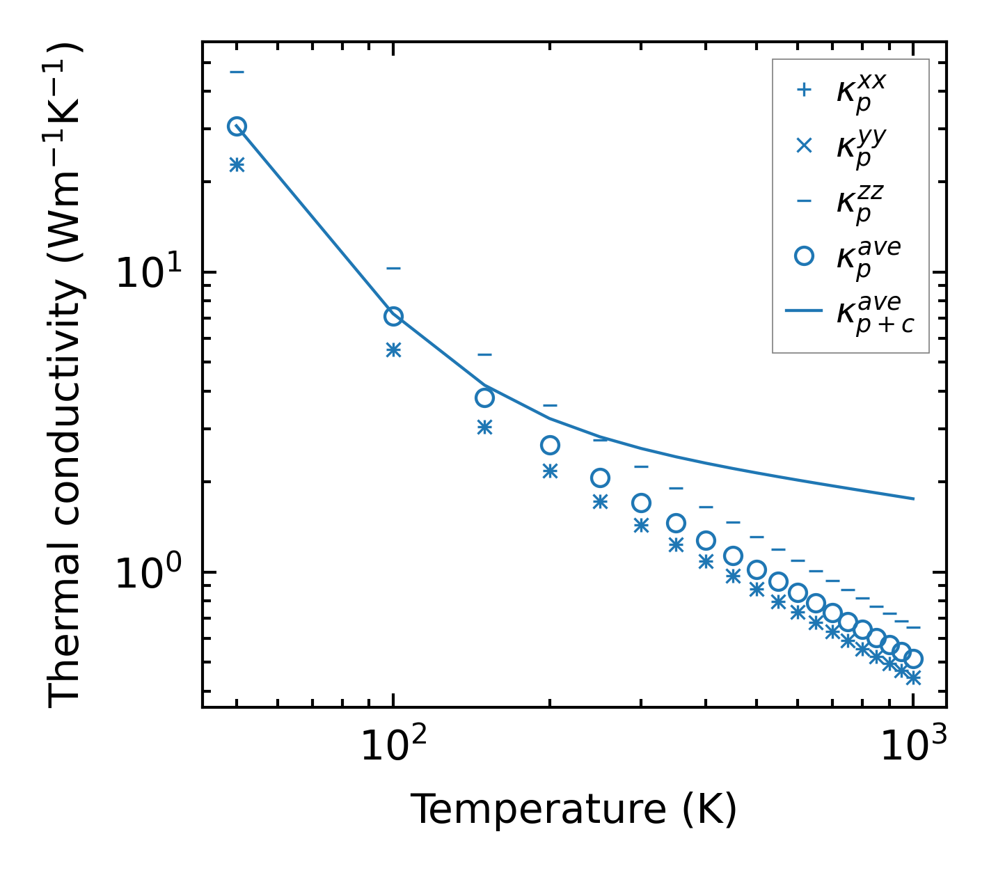
Thermal conductivity

3-phonon (LASSO), supercell 2x2x1 — q-mesh: 14x14x14, supercell: 2x2x1

../../_images/fig_kappa3177.png

(a) Temperature-dependent lattice thermal conductivity

../../_images/fig_kappa_vs_grain_size1674.png

(b) Peierls lattice thermal conductivity w.r.t grain size

Phonon lifetime and scattering rates

../../_images/fig_lifetime1641.png

(a) Phonon lifetime due to phonon-phonon scattering

../../_images/fig_scat_rates1640.png

(b) Phonon scattering rates

Cumulative and spectral thermal conductivity

../../_images/fig_cumu_frequency1641.png

(a) Spectral and cumulative thermal conductivity w.r.t frequency

../../_images/fig_cumu_mfp1641.png

(b) Spectral and cumulative thermal conductivity w.r.t MFP

Force constants

../../_images/fig_fc23480.png

(a) Force constants w.r.t atomic distance

Summary

../../_images/fig_times6371.png

(a) Computation time