mp-755089-2/ZrO2/anharm

Equation of state

../../_images/fig_bm1794.png

(a) Equation of state

Harmonic properties

../../_images/fig_bandos_pr3647.png

(a) Phonon dispersion with participation ratio and DOS

../../_images/fig_bandos4881.png

(b) Phonon dispersion and DOS

../../_images/fig_thermo3647.png

(c) Thermodynamic properties

Grüneisen parameters

../../_images/fig_gru_all1638.png

(a) Grüneisen parameters

../../_images/fig_gruneisen1638.png

(b) Phonon dispersion with Grüneisen parameters

Thermal conductivity

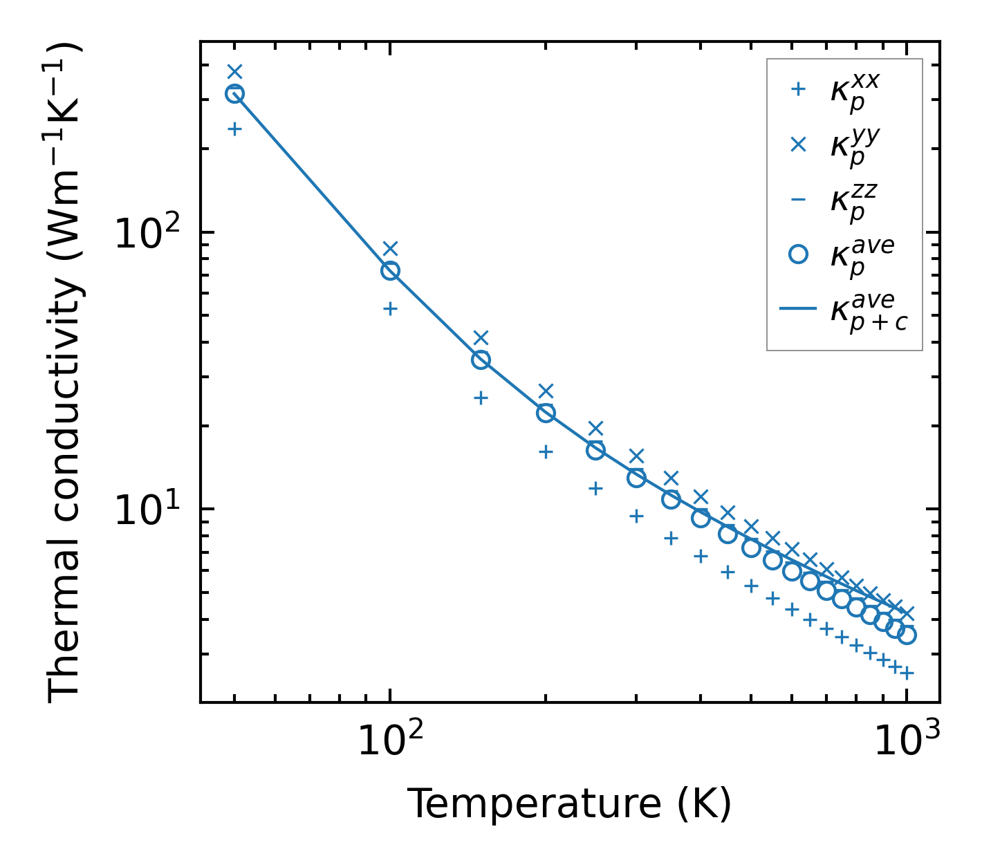
3-phonon (LASSO) — q-mesh: 9x20x13, supercell: 2x3x2

../../_images/fig_kappa3150.png

(a) Temperature-dependent lattice thermal conductivity

../../_images/fig_kappa_vs_grain_size1660.png

(b) Peierls lattice thermal conductivity w.r.t grain size

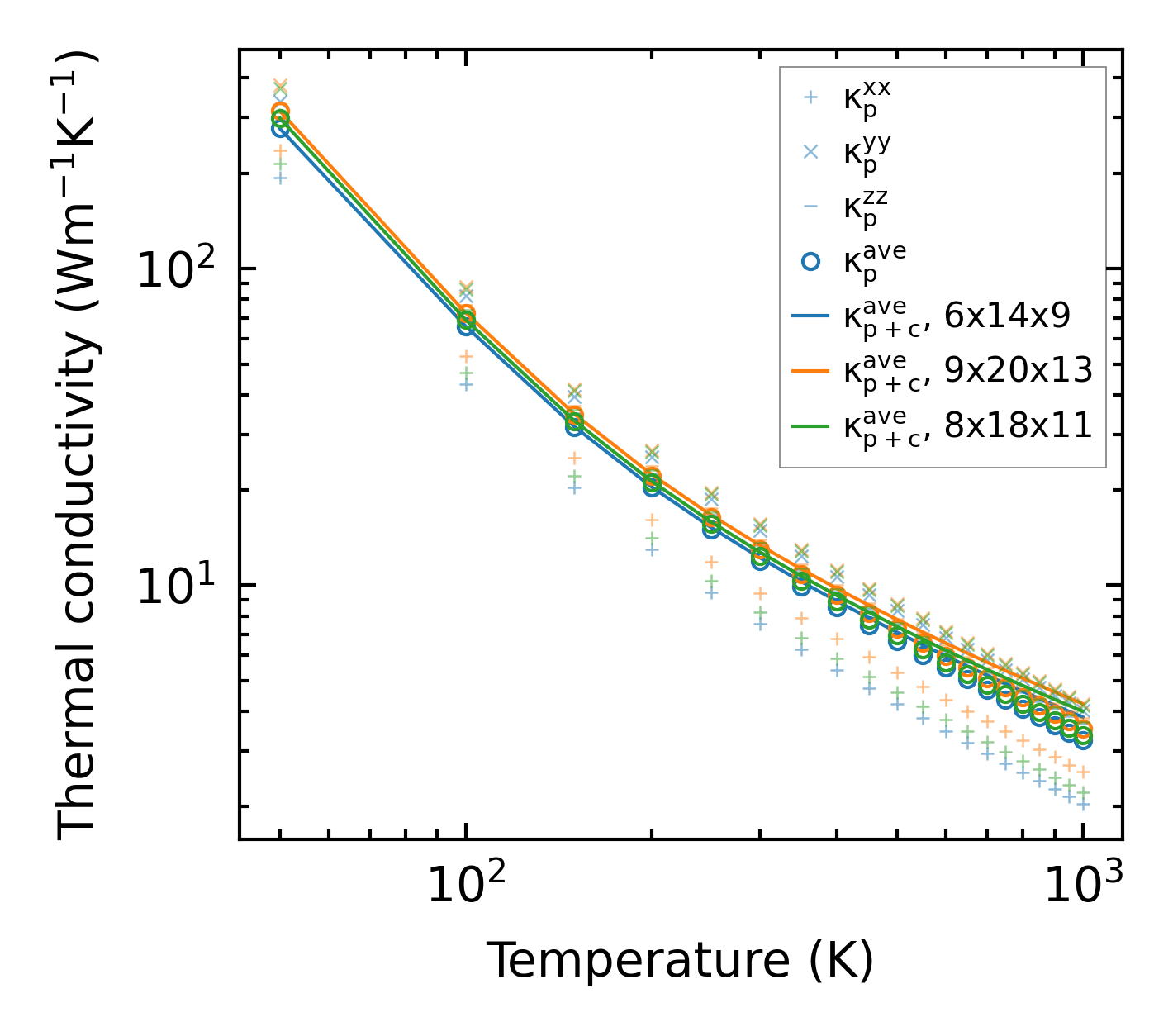
3-phonon (LASSO), supercell 2x4x2 — q-mesh: 9x20x13, supercell: 2x4x2

../../_images/fig_kappa3151.png

(a) Temperature-dependent lattice thermal conductivity

../../_images/fig_kappa_vs_grain_size1661.png

(b) Peierls lattice thermal conductivity w.r.t grain size

Phonon lifetime and scattering rates

../../_images/fig_lifetime1628.png

(a) Phonon lifetime due to phonon-phonon scattering

../../_images/fig_scat_rates1627.png

(b) Phonon scattering rates

Cumulative and spectral thermal conductivity

../../_images/fig_cumu_frequency1628.png

(a) Spectral and cumulative thermal conductivity w.r.t frequency

../../_images/fig_cumu_mfp1628.png

(b) Spectral and cumulative thermal conductivity w.r.t MFP

Force constants

../../_images/fig_fc23464.png

(a) Force constants w.r.t atomic distance

Summary

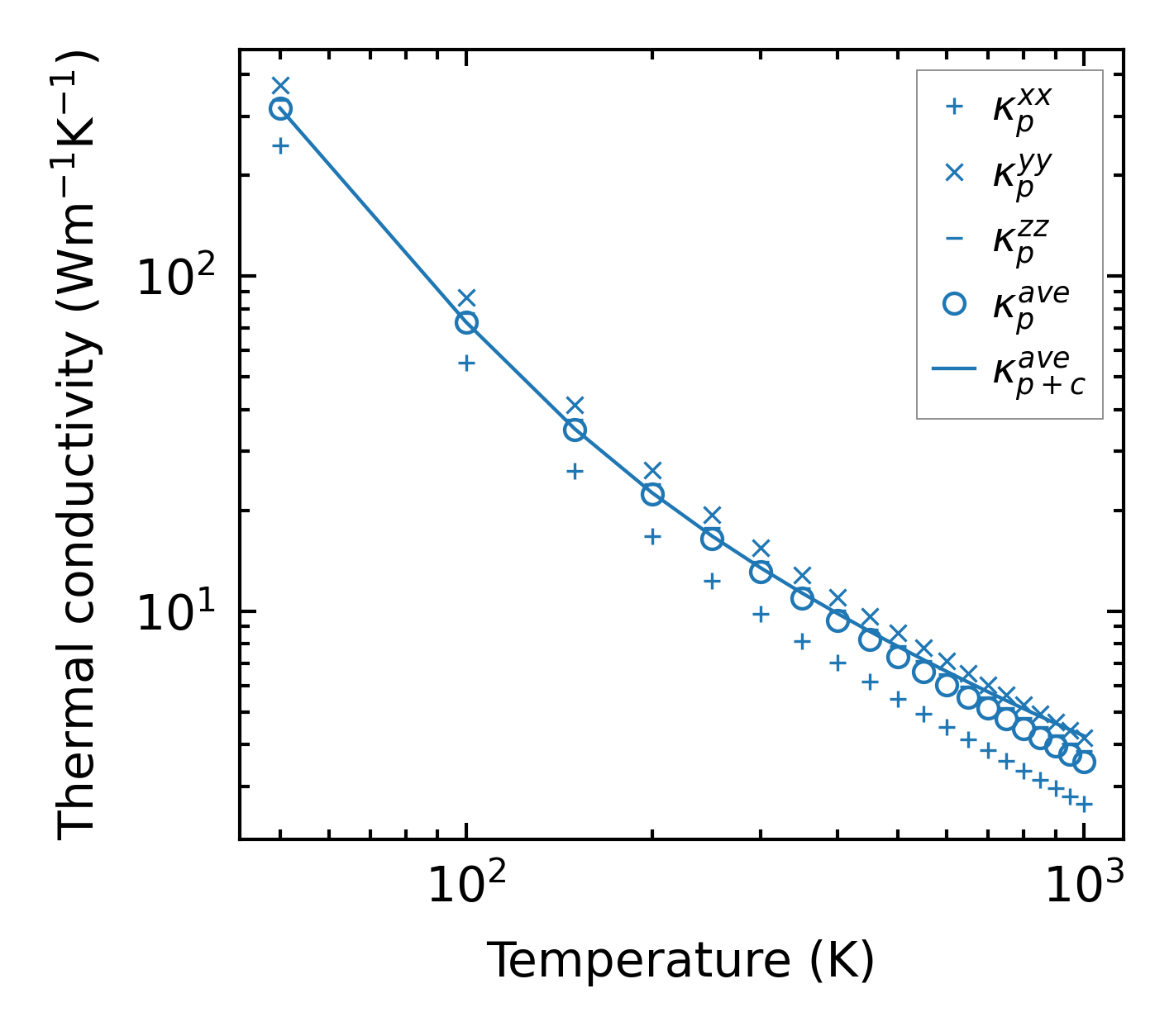
../../_images/fig_kappa3152.png

(a) Temperature-dependent lattice thermal conductivity

../../_images/fig_times6345.png

(b) Computation time