mp-755217/Cs2BaO2/anharm

Harmonic properties

../../_images/fig_bandos_pr3662.png

(a) Phonon dispersion with participation ratio and DOS

../../_images/fig_thermo3662.png

(b) Thermodynamic properties

Grüneisen parameters

../../_images/fig_gru_all1650.png

(a) Grüneisen parameters

../../_images/fig_gruneisen1650.png

(b) Phonon dispersion with Grüneisen parameters

Thermal conductivity

3-phonon (LASSO) — q-mesh: 6x10x9, supercell: 1x2x2

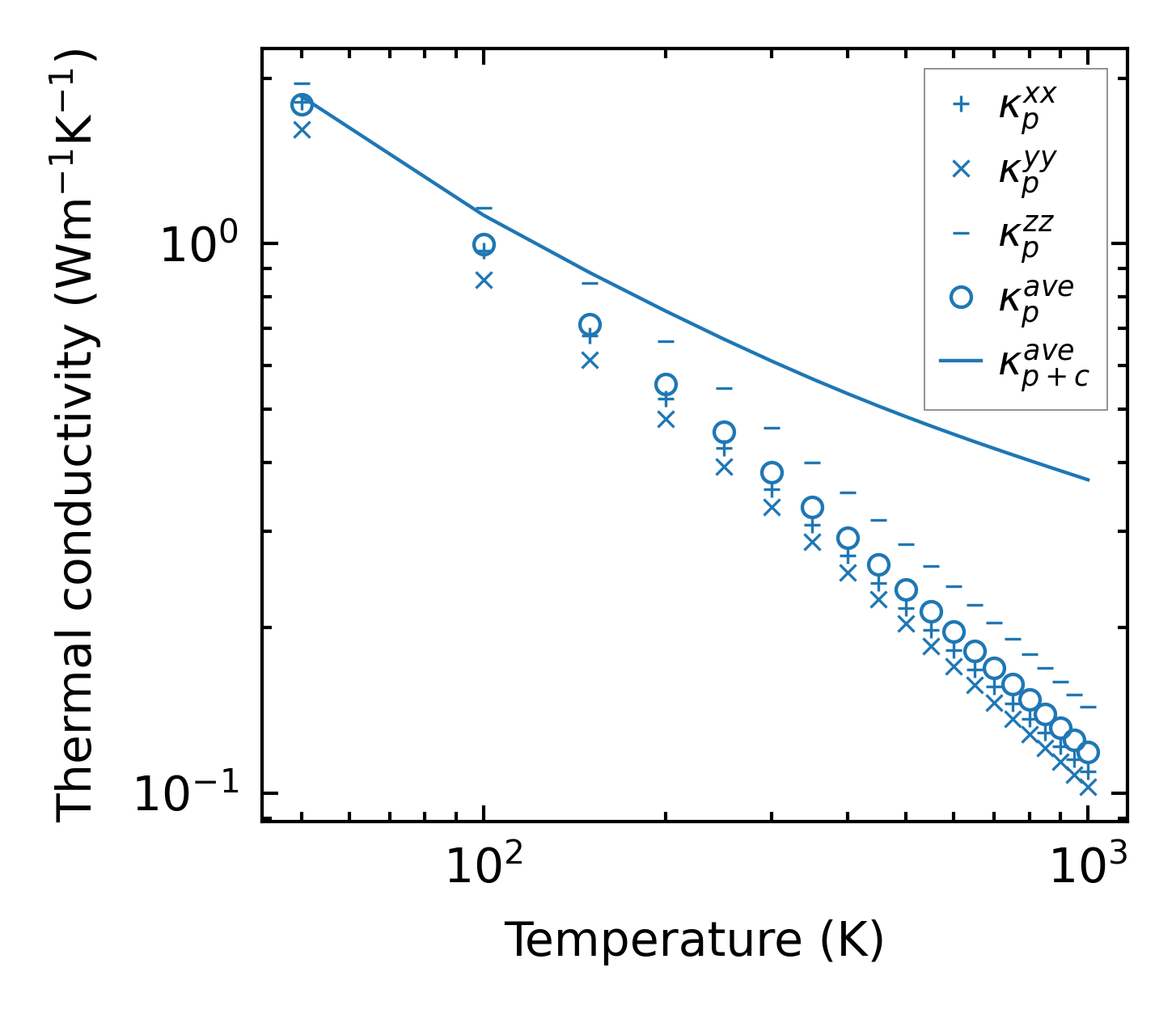
../../_images/fig_kappa3175.png

(a) Temperature-dependent lattice thermal conductivity

../../_images/fig_kappa_vs_grain_size1673.png

(b) Peierls lattice thermal conductivity w.r.t grain size

Phonon lifetime and scattering rates

../../_images/fig_lifetime1640.png

(a) Phonon lifetime due to phonon-phonon scattering

../../_images/fig_scat_rates1639.png

(b) Phonon scattering rates

Cumulative and spectral thermal conductivity

../../_images/fig_cumu_frequency1640.png

(a) Spectral and cumulative thermal conductivity w.r.t frequency

../../_images/fig_cumu_mfp1640.png

(b) Spectral and cumulative thermal conductivity w.r.t MFP

Force constants

../../_images/fig_fc23479.png

(a) Force constants w.r.t atomic distance

Summary

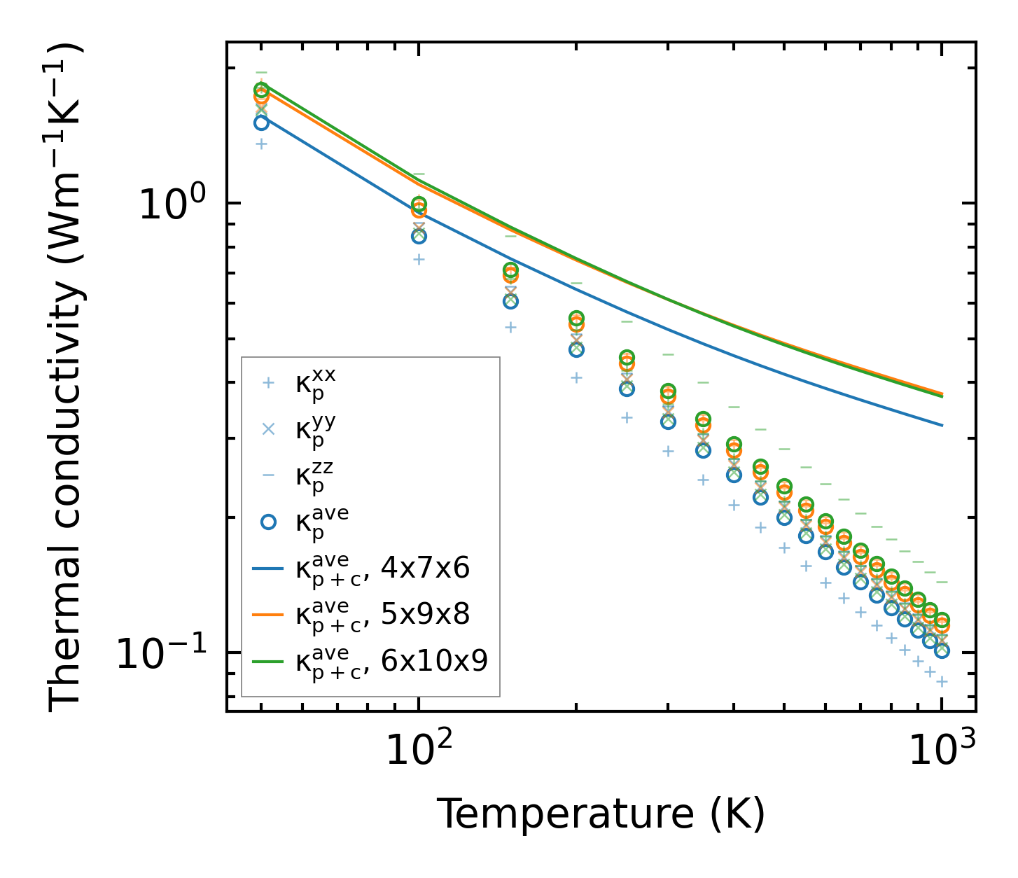
../../_images/fig_kappa3176.png

(a) Temperature-dependent lattice thermal conductivity

../../_images/fig_times6368.png

(b) Computation time