mp-755309-2/Li3NbS4/anharm

Equation of state

../../_images/fig_bm1801.png

(a) Equation of state

Harmonic properties

../../_images/fig_bandos_pr3676.png

(a) Phonon dispersion with participation ratio and DOS

../../_images/fig_thermo3676.png

(b) Thermodynamic properties

Grüneisen parameters

../../_images/fig_gru_all1657.png

(a) Grüneisen parameters

../../_images/fig_gruneisen1657.png

(b) Phonon dispersion with Grüneisen parameters

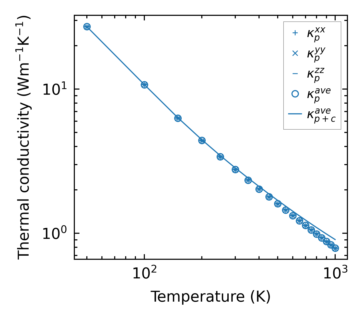
Thermal conductivity

3-phonon — q-mesh: 11x11x11, supercell: 2x2x2

../../_images/fig_kappa3188.png

(a) Temperature-dependent lattice thermal conductivity

../../_images/fig_kappa_vs_grain_size1680.png

(b) Peierls lattice thermal conductivity w.r.t grain size

Phonon lifetime and scattering rates

../../_images/fig_lifetime1647.png

(a) Phonon lifetime due to phonon-phonon scattering

../../_images/fig_scat_rates1646.png

(b) Phonon scattering rates

Cumulative and spectral thermal conductivity

../../_images/fig_cumu_frequency1647.png

(a) Spectral and cumulative thermal conductivity w.r.t frequency

../../_images/fig_cumu_mfp1647.png

(b) Spectral and cumulative thermal conductivity w.r.t MFP

Force constants

../../_images/fig_fc3183.png

(a) Force constants w.r.t atomic distance

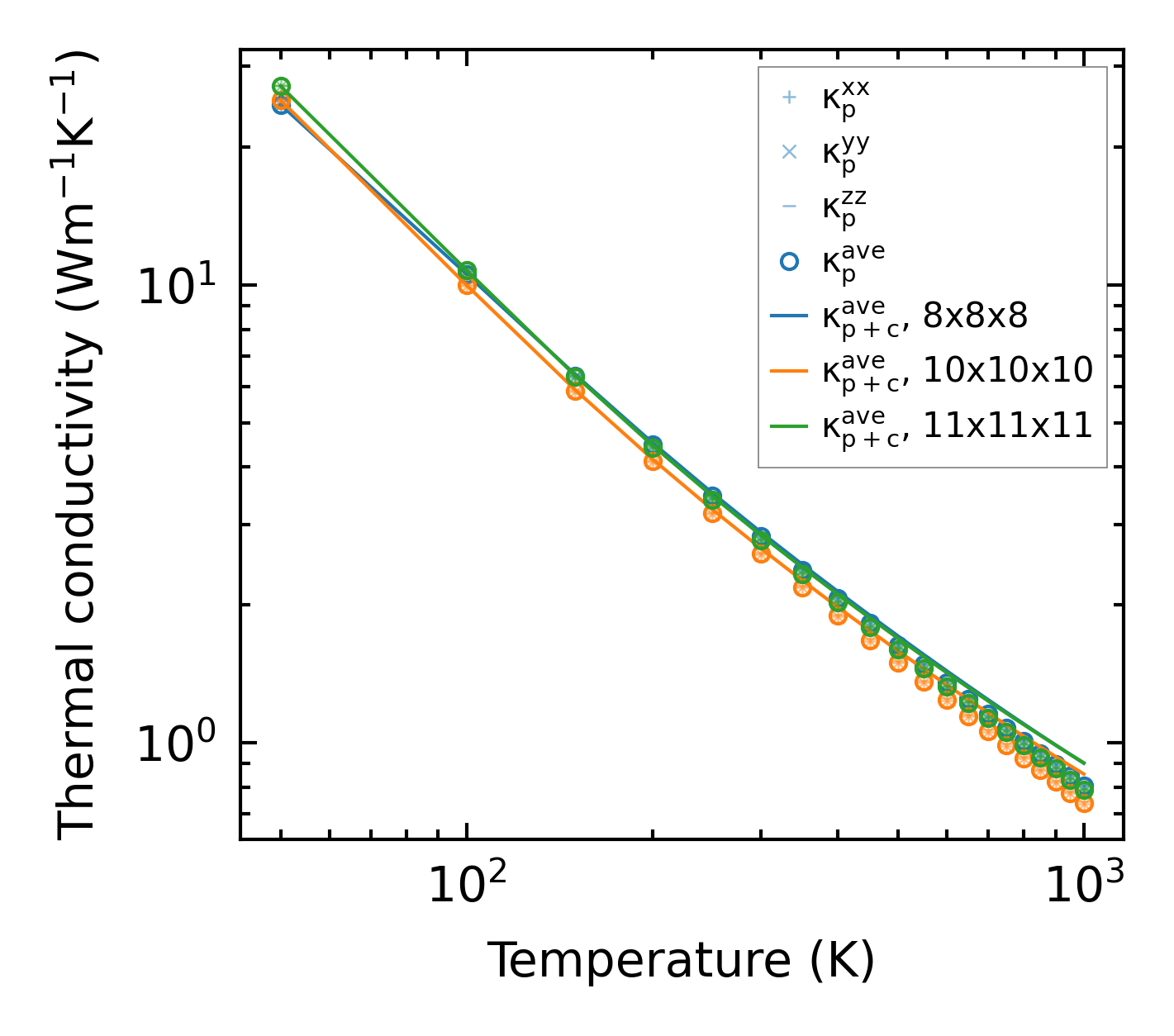
Summary

../../_images/fig_kappa3189.png

(a) Temperature-dependent lattice thermal conductivity

../../_images/fig_times6387.png

(b) Computation time