mp-755362/Sm2Se2O/anharm

Equation of state

../../_images/fig_bm1808.png

(a) Equation of state

Harmonic properties

../../_images/fig_bandos_pr3688.png

(a) Phonon dispersion with participation ratio and DOS

../../_images/fig_bandos4920.png

(b) Phonon dispersion and DOS

../../_images/fig_thermo3688.png

(c) Thermodynamic properties

Grüneisen parameters

../../_images/fig_gru_all1666.png

(a) Grüneisen parameters

../../_images/fig_gruneisen1666.png

(b) Phonon dispersion with Grüneisen parameters

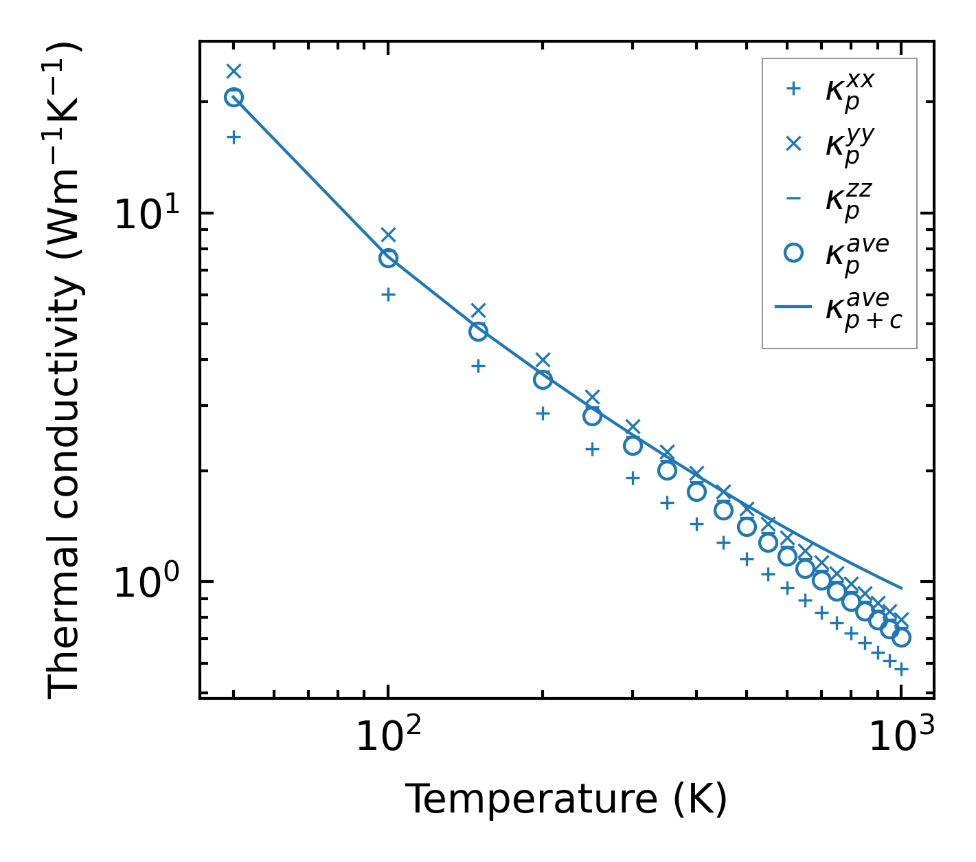
Thermal conductivity

3-phonon (LASSO), supercell 2x2x2 — q-mesh: 8x10x10, supercell: 2x2x2

../../_images/fig_kappa3205.png

(a) Temperature-dependent lattice thermal conductivity

../../_images/fig_kappa_vs_grain_size1689.png

(b) Peierls lattice thermal conductivity w.r.t grain size

Phonon lifetime and scattering rates

../../_images/fig_lifetime1656.png

(a) Phonon lifetime due to phonon-phonon scattering

../../_images/fig_scat_rates1655.png

(b) Phonon scattering rates

Cumulative and spectral thermal conductivity

../../_images/fig_cumu_frequency1656.png

(a) Spectral and cumulative thermal conductivity w.r.t frequency

../../_images/fig_cumu_mfp1656.png

(b) Spectral and cumulative thermal conductivity w.r.t MFP

Force constants

../../_images/fig_fc23504.png

(a) Force constants w.r.t atomic distance

Summary

../../_images/fig_times6409.png

(a) Computation time