mp-755558/BaLa2O4/anharm

Harmonic properties

../../_images/fig_bandos_pr3430.png

(a) Phonon dispersion with participation ratio and DOS

../../_images/fig_thermo3430.png

(b) Thermodynamic properties

Grüneisen parameters

../../_images/fig_gru_all1554.png

(a) Grüneisen parameters

../../_images/fig_gruneisen1554.png

(b) Phonon dispersion with Grüneisen parameters

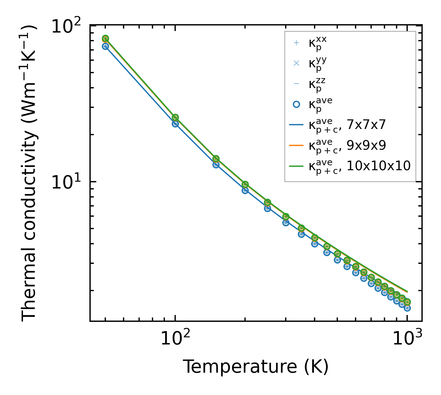
Thermal conductivity

3-phonon — q-mesh: 10x10x10, supercell: 1x1x1

../../_images/fig_kappa2988.png

(a) Temperature-dependent lattice thermal conductivity

../../_images/fig_kappa_vs_grain_size1574.png

(b) Peierls lattice thermal conductivity w.r.t grain size

Phonon lifetime and scattering rates

../../_images/fig_lifetime1544.png

(a) Phonon lifetime due to phonon-phonon scattering

../../_images/fig_scat_rates1543.png

(b) Phonon scattering rates

Cumulative and spectral thermal conductivity

../../_images/fig_cumu_frequency1544.png

(a) Spectral and cumulative thermal conductivity w.r.t frequency

../../_images/fig_cumu_mfp1544.png

(b) Spectral and cumulative thermal conductivity w.r.t MFP

Force constants

../../_images/fig_fc3181.png

(a) Force constants w.r.t atomic distance

Summary

../../_images/fig_kappa2989.png

(a) Temperature-dependent lattice thermal conductivity

../../_images/fig_times5957.png

(b) Computation time