mp-755856/Mg2SnO4/anharm

Harmonic properties

../../_images/fig_bandos_pr3491.png

(a) Phonon dispersion with participation ratio and DOS

../../_images/fig_thermo3491.png

(b) Thermodynamic properties

Grüneisen parameters

../../_images/fig_gru_all1577.png

(a) Grüneisen parameters

../../_images/fig_gruneisen1577.png

(b) Phonon dispersion with Grüneisen parameters

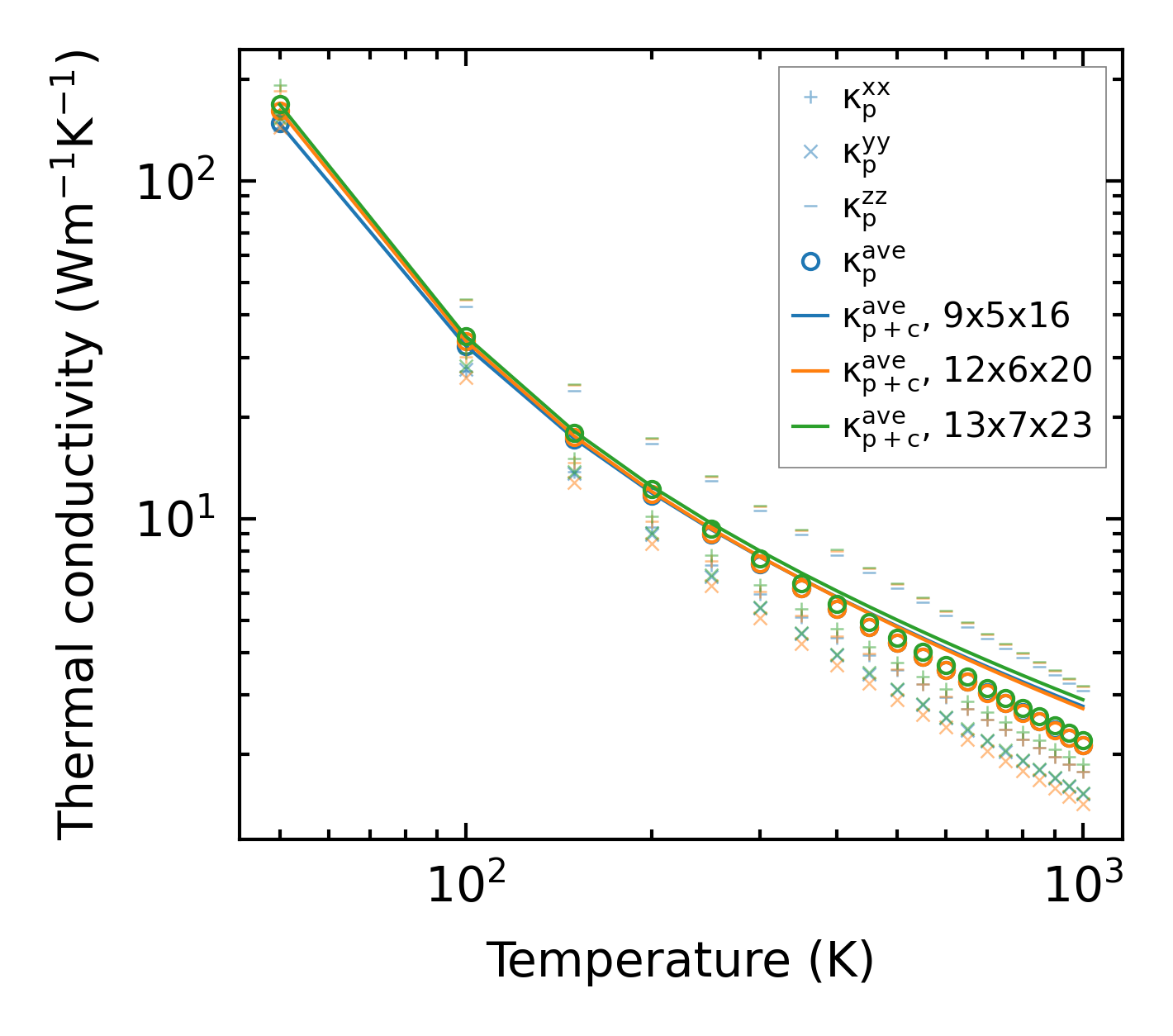
Thermal conductivity

3-phonon (LASSO) — q-mesh: 13x7x23, supercell: 2x1x4

../../_images/fig_kappa3031.png

(a) Temperature-dependent lattice thermal conductivity

../../_images/fig_kappa_vs_grain_size1598.png

(b) Peierls lattice thermal conductivity w.r.t grain size

Phonon lifetime and scattering rates

../../_images/fig_lifetime1567.png

(a) Phonon lifetime due to phonon-phonon scattering

../../_images/fig_scat_rates1566.png

(b) Phonon scattering rates

Cumulative and spectral thermal conductivity

../../_images/fig_cumu_frequency1567.png

(a) Spectral and cumulative thermal conductivity w.r.t frequency

../../_images/fig_cumu_mfp1567.png

(b) Spectral and cumulative thermal conductivity w.r.t MFP

Force constants

../../_images/fig_fc23309.png

(a) Force constants w.r.t atomic distance

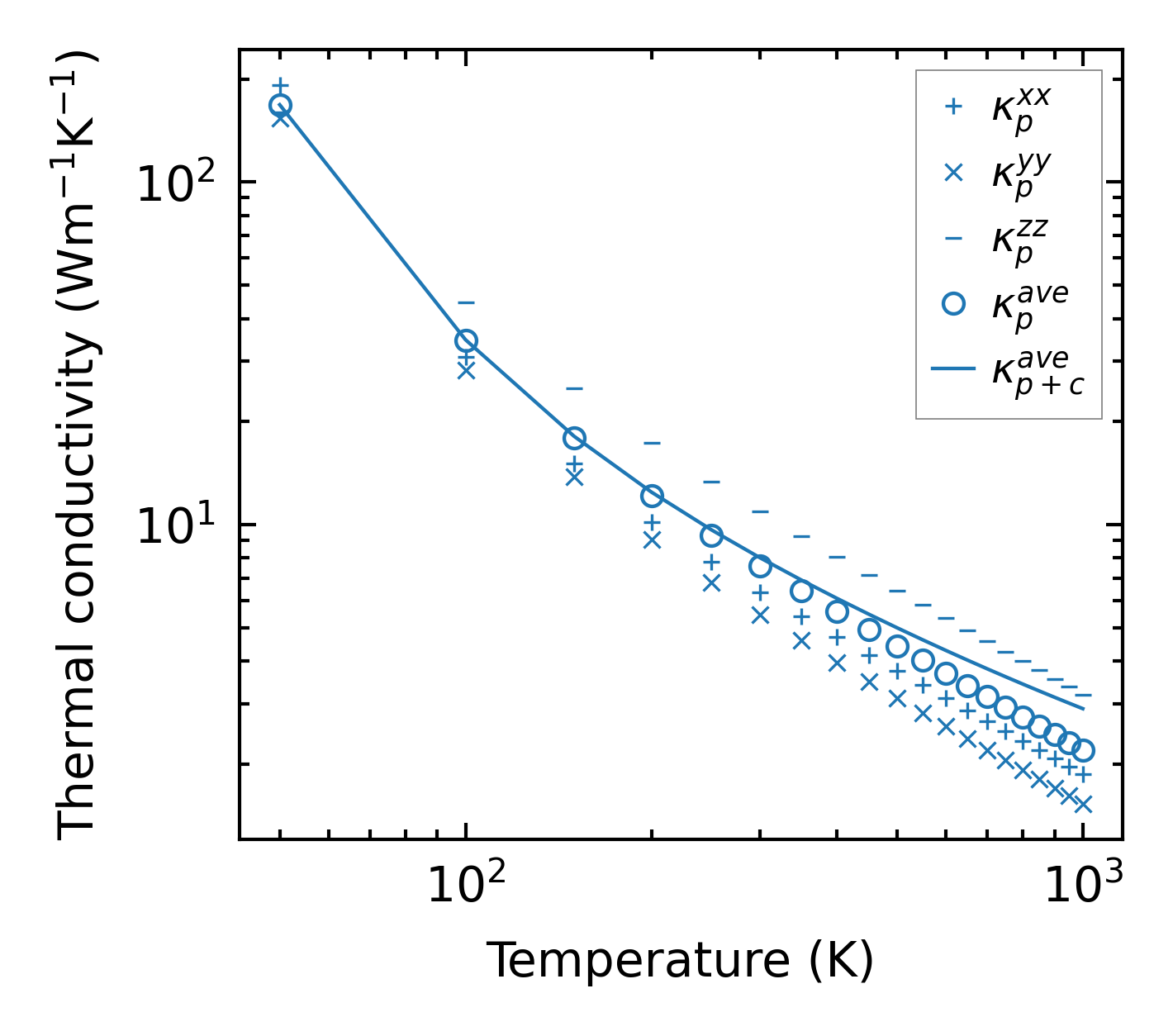
Summary

../../_images/fig_kappa3032.png

(a) Temperature-dependent lattice thermal conductivity

../../_images/fig_times6068.png

(b) Computation time