mp-755175/Al2O3/anharm

Harmonic properties

../../_images/fig_bandos_pr3658.png

(a) Phonon dispersion with participation ratio and DOS

../../_images/fig_thermo3658.png

(b) Thermodynamic properties

Grüneisen parameters

../../_images/fig_gru_all1647.png

(a) Grüneisen parameters

../../_images/fig_gruneisen1647.png

(b) Phonon dispersion with Grüneisen parameters

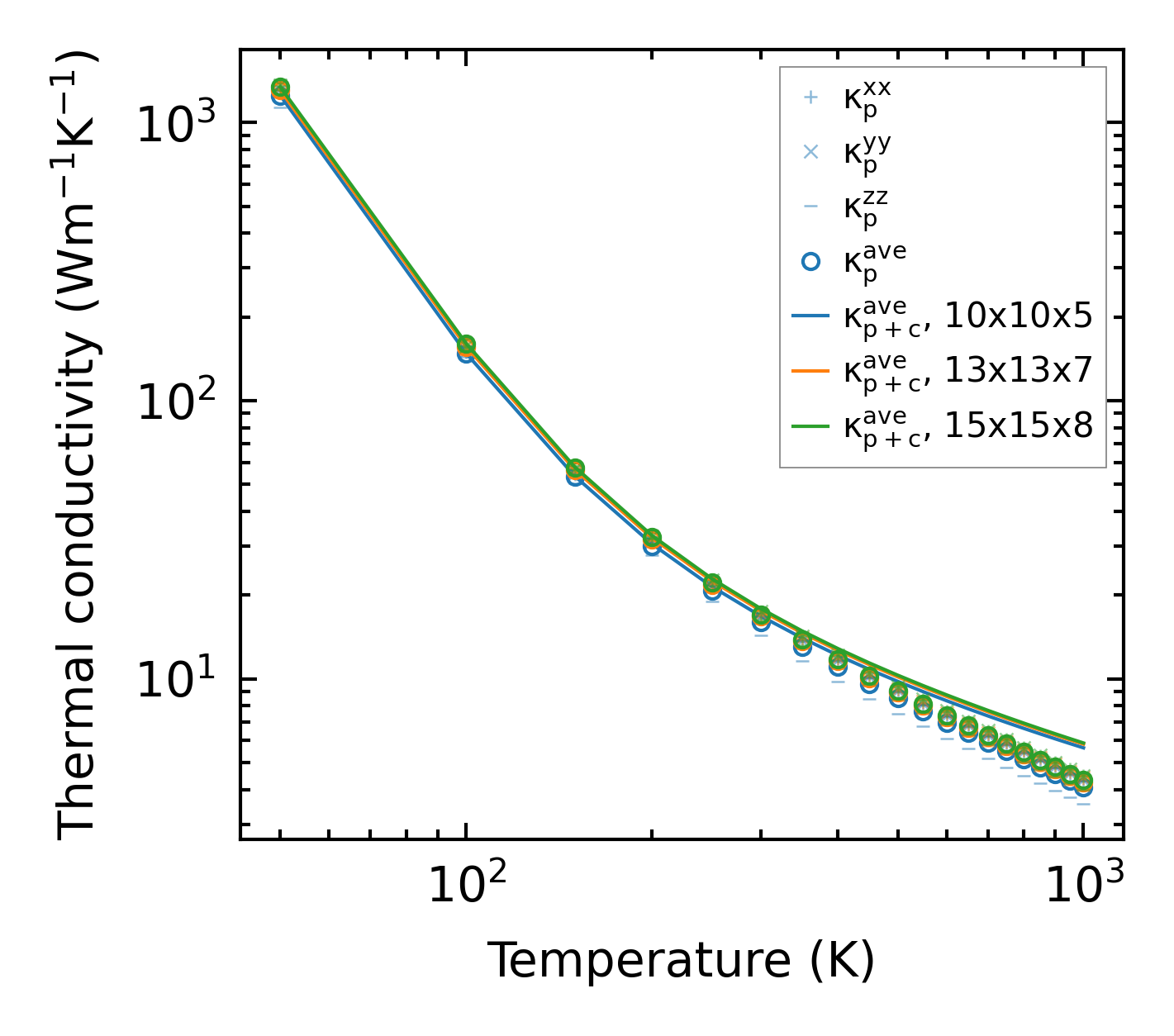
Thermal conductivity

3-phonon (LASSO) — q-mesh: 15x15x8, supercell: 2x2x1

../../_images/fig_kappa3169.png

(a) Temperature-dependent lattice thermal conductivity

../../_images/fig_kappa_vs_grain_size1670.png

(b) Peierls lattice thermal conductivity w.r.t grain size

Phonon lifetime and scattering rates

../../_images/fig_lifetime1637.png

(a) Phonon lifetime due to phonon-phonon scattering

../../_images/fig_scat_rates1636.png

(b) Phonon scattering rates

Cumulative and spectral thermal conductivity

../../_images/fig_cumu_frequency1637.png

(a) Spectral and cumulative thermal conductivity w.r.t frequency

../../_images/fig_cumu_mfp1637.png

(b) Spectral and cumulative thermal conductivity w.r.t MFP

Force constants

../../_images/fig_fc23475.png

(a) Force constants w.r.t atomic distance

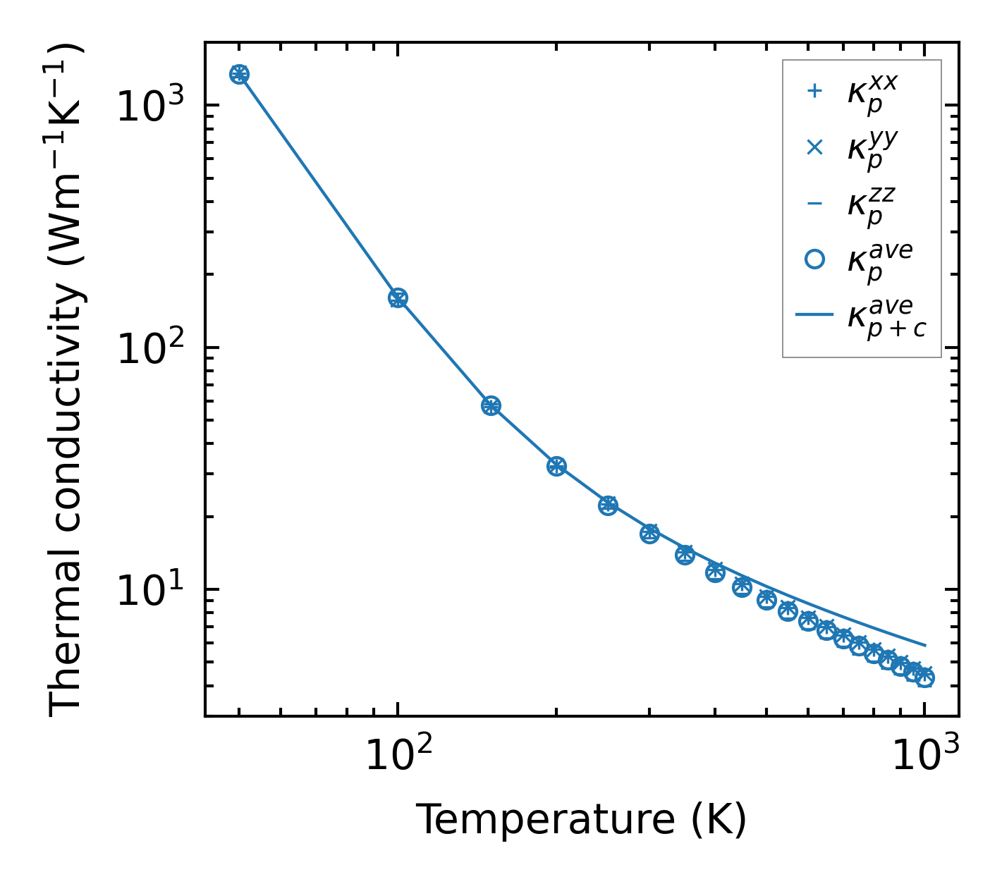
Summary

../../_images/fig_kappa3170.png

(a) Temperature-dependent lattice thermal conductivity

../../_images/fig_times6361.png

(b) Computation time