mp-568986/KAuCl4/anharm

Harmonic properties

../../_images/fig_bandos_pr6979.png

(a) Phonon dispersion with participation ratio and DOS

../../_images/fig_thermo6979.png

(b) Thermodynamic properties

Grüneisen parameters

../../_images/fig_gru_all2895.png

(a) Grüneisen parameters

../../_images/fig_gruneisen2895.png

(b) Phonon dispersion with Grüneisen parameters

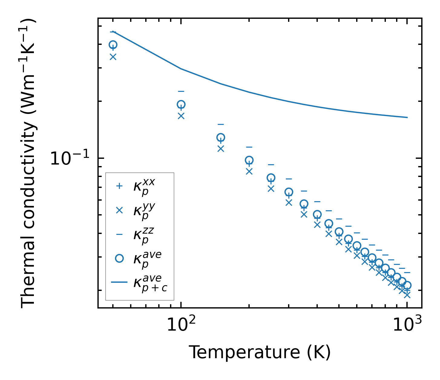
Thermal conductivity

3-phonon (LASSO) — q-mesh: 8x11x5, supercell: 2x2x1

../../_images/fig_kappa5492.png

(a) Temperature-dependent lattice thermal conductivity

../../_images/fig_kappa_vs_grain_size2937.png

(b) Peierls lattice thermal conductivity w.r.t grain size

Phonon lifetime and scattering rates

../../_images/fig_lifetime2871.png

(a) Phonon lifetime due to phonon-phonon scattering

../../_images/fig_scat_rates2870.png

(b) Phonon scattering rates

Cumulative and spectral thermal conductivity

../../_images/fig_cumu_frequency2871.png

(a) Spectral and cumulative thermal conductivity w.r.t frequency

../../_images/fig_cumu_mfp2870.png

(b) Spectral and cumulative thermal conductivity w.r.t MFP

Force constants

../../_images/fig_fc26757.png

(a) Force constants w.r.t atomic distance

Summary

../../_images/fig_kappa5493.png

(a) Temperature-dependent lattice thermal conductivity

../../_images/fig_times12490.png

(b) Computation time