mp-568762/Na4Ge2Se5/anharm

Harmonic properties

../../_images/fig_bandos_pr6952.png

(a) Phonon dispersion with participation ratio and DOS

../../_images/fig_thermo6952.png

(b) Thermodynamic properties

Grüneisen parameters

../../_images/fig_gru_all2880.png

(a) Grüneisen parameters

../../_images/fig_gruneisen2880.png

(b) Phonon dispersion with Grüneisen parameters

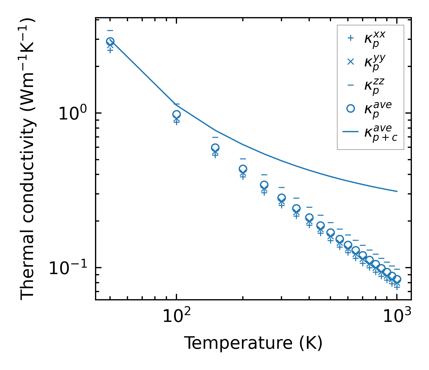
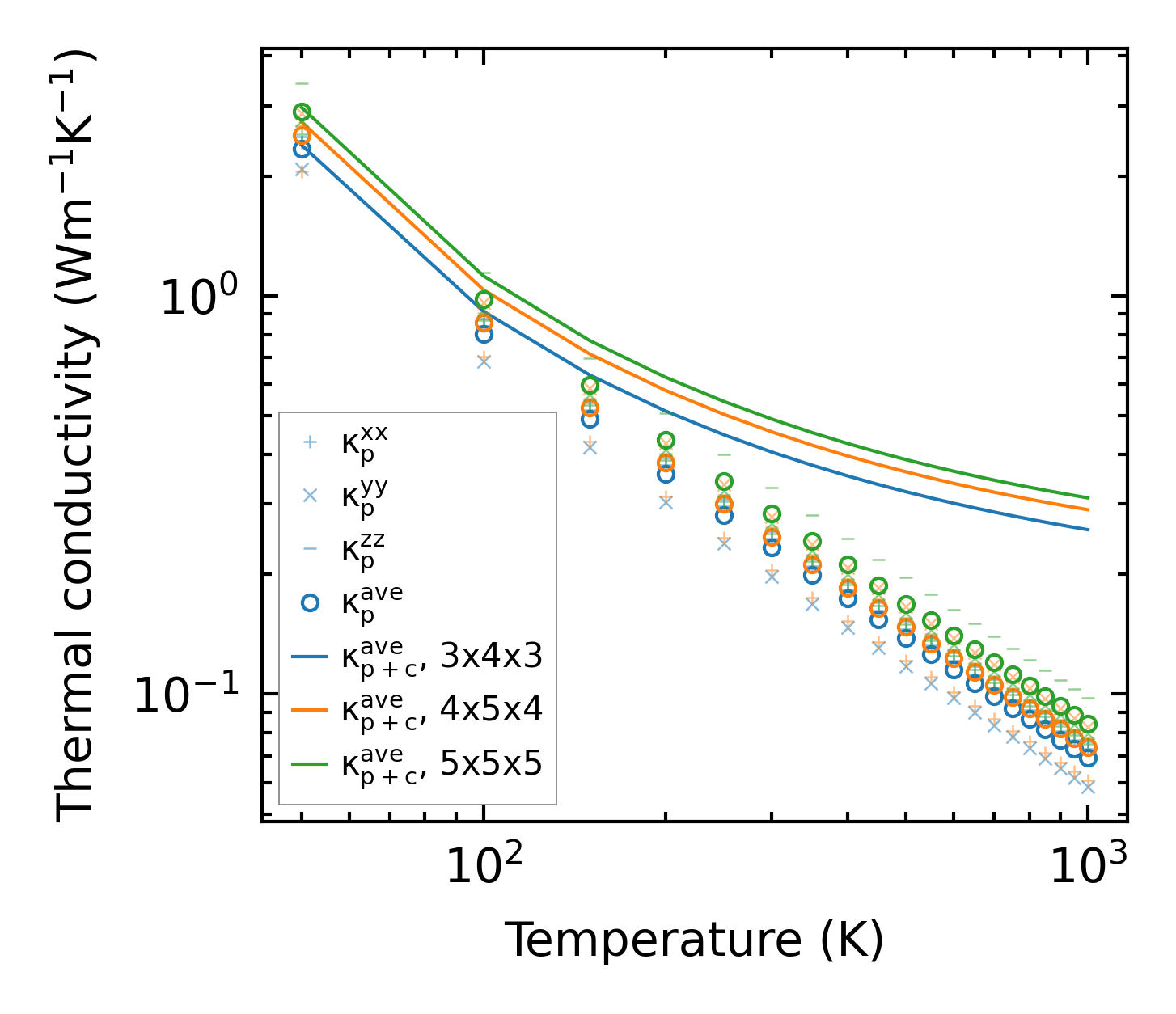
Thermal conductivity

3-phonon (LASSO) — q-mesh: 5x5x5, supercell: 1x1x1

../../_images/fig_kappa5467.png

(a) Temperature-dependent lattice thermal conductivity

../../_images/fig_kappa_vs_grain_size2922.png

(b) Peierls lattice thermal conductivity w.r.t grain size

Phonon lifetime and scattering rates

../../_images/fig_lifetime2856.png

(a) Phonon lifetime due to phonon-phonon scattering

../../_images/fig_scat_rates2855.png

(b) Phonon scattering rates

Cumulative and spectral thermal conductivity

../../_images/fig_cumu_frequency2856.png

(a) Spectral and cumulative thermal conductivity w.r.t frequency

../../_images/fig_cumu_mfp2855.png

(b) Spectral and cumulative thermal conductivity w.r.t MFP

Force constants

../../_images/fig_fc26730.png

(a) Force constants w.r.t atomic distance

Summary

../../_images/fig_kappa5468.png

(a) Temperature-dependent lattice thermal conductivity

../../_images/fig_times12454.png

(b) Computation time