mp-568965/CaSiN2/anharm

Harmonic properties

../../_images/fig_bandos_pr6974.png

(a) Phonon dispersion with participation ratio and DOS

../../_images/fig_thermo6974.png

(b) Thermodynamic properties

Grüneisen parameters

../../_images/fig_gru_all2893.png

(a) Grüneisen parameters

../../_images/fig_gruneisen2893.png

(b) Phonon dispersion with Grüneisen parameters

Thermal conductivity

3-phonon (LASSO) — q-mesh: 14x7x4, supercell: 2x1x1

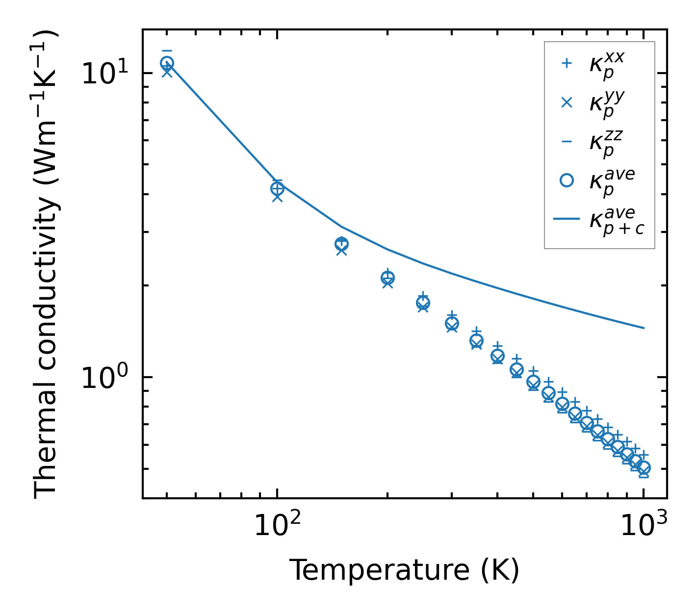
../../_images/fig_kappa5488.png

(a) Temperature-dependent lattice thermal conductivity

../../_images/fig_kappa_vs_grain_size2935.png

(b) Peierls lattice thermal conductivity w.r.t grain size

Phonon lifetime and scattering rates

../../_images/fig_lifetime2869.png

(a) Phonon lifetime due to phonon-phonon scattering

../../_images/fig_scat_rates2868.png

(b) Phonon scattering rates

Cumulative and spectral thermal conductivity

../../_images/fig_cumu_frequency2869.png

(a) Spectral and cumulative thermal conductivity w.r.t frequency

../../_images/fig_cumu_mfp2868.png

(b) Spectral and cumulative thermal conductivity w.r.t MFP

Force constants

../../_images/fig_fc26752.png

(a) Force constants w.r.t atomic distance

Summary

../../_images/fig_kappa5489.png

(a) Temperature-dependent lattice thermal conductivity

../../_images/fig_times12484.png

(b) Computation time