mp-568293/Ca3N2/anharm

Harmonic properties

../../_images/fig_bandos_pr7265.png

(a) Phonon dispersion with participation ratio and DOS

../../_images/fig_thermo7265.png

(b) Thermodynamic properties

Grüneisen parameters

../../_images/fig_gru_all3058.png

(a) Grüneisen parameters

../../_images/fig_gruneisen3058.png

(b) Phonon dispersion with Grüneisen parameters

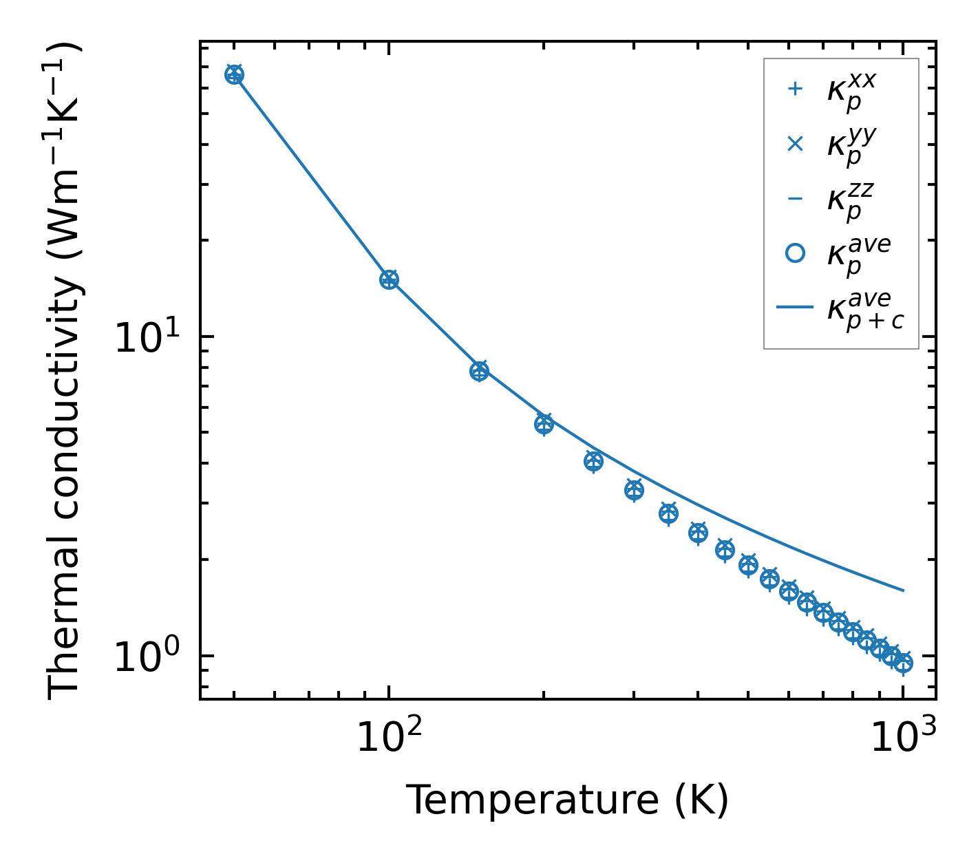
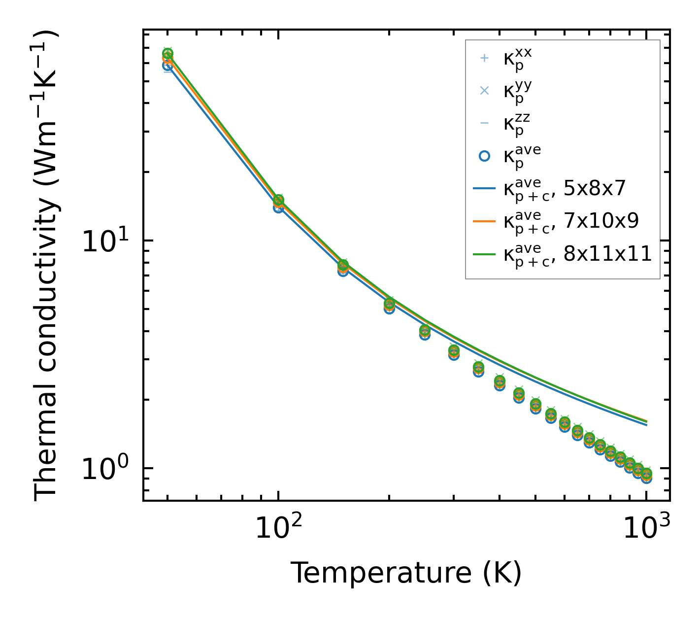
Thermal conductivity

3-phonon (LASSO) — q-mesh: 8x11x11, supercell: 1x2x2

../../_images/fig_kappa5793.png

(a) Temperature-dependent lattice thermal conductivity

../../_images/fig_kappa_vs_grain_size3101.png

(b) Peierls lattice thermal conductivity w.r.t grain size

Phonon lifetime and scattering rates

../../_images/fig_lifetime3033.png

(a) Phonon lifetime due to phonon-phonon scattering

../../_images/fig_scat_rates3032.png

(b) Phonon scattering rates

Cumulative and spectral thermal conductivity

../../_images/fig_cumu_frequency3033.png

(a) Spectral and cumulative thermal conductivity w.r.t frequency

../../_images/fig_cumu_mfp3032.png

(b) Spectral and cumulative thermal conductivity w.r.t MFP

Force constants

../../_images/fig_fc27031.png

(a) Force constants w.r.t atomic distance

Summary

../../_images/fig_kappa5794.png

(a) Temperature-dependent lattice thermal conductivity

../../_images/fig_times12903.png

(b) Computation time