mp-568108/InBr2/anharm

Equation of state

../../_images/fig_bm3837.png

(a) Equation of state

Harmonic properties

../../_images/fig_bandos_pr7245.png

(a) Phonon dispersion with participation ratio and DOS

../../_images/fig_thermo7245.png

(b) Thermodynamic properties

Grüneisen parameters

../../_images/fig_gru_all3048.png

(a) Grüneisen parameters

../../_images/fig_gruneisen3048.png

(b) Phonon dispersion with Grüneisen parameters

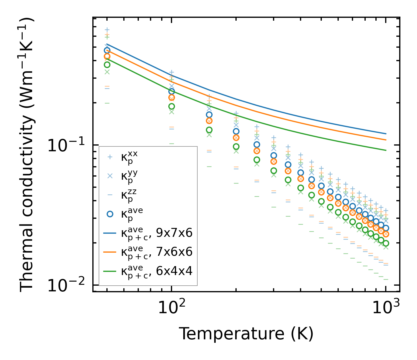
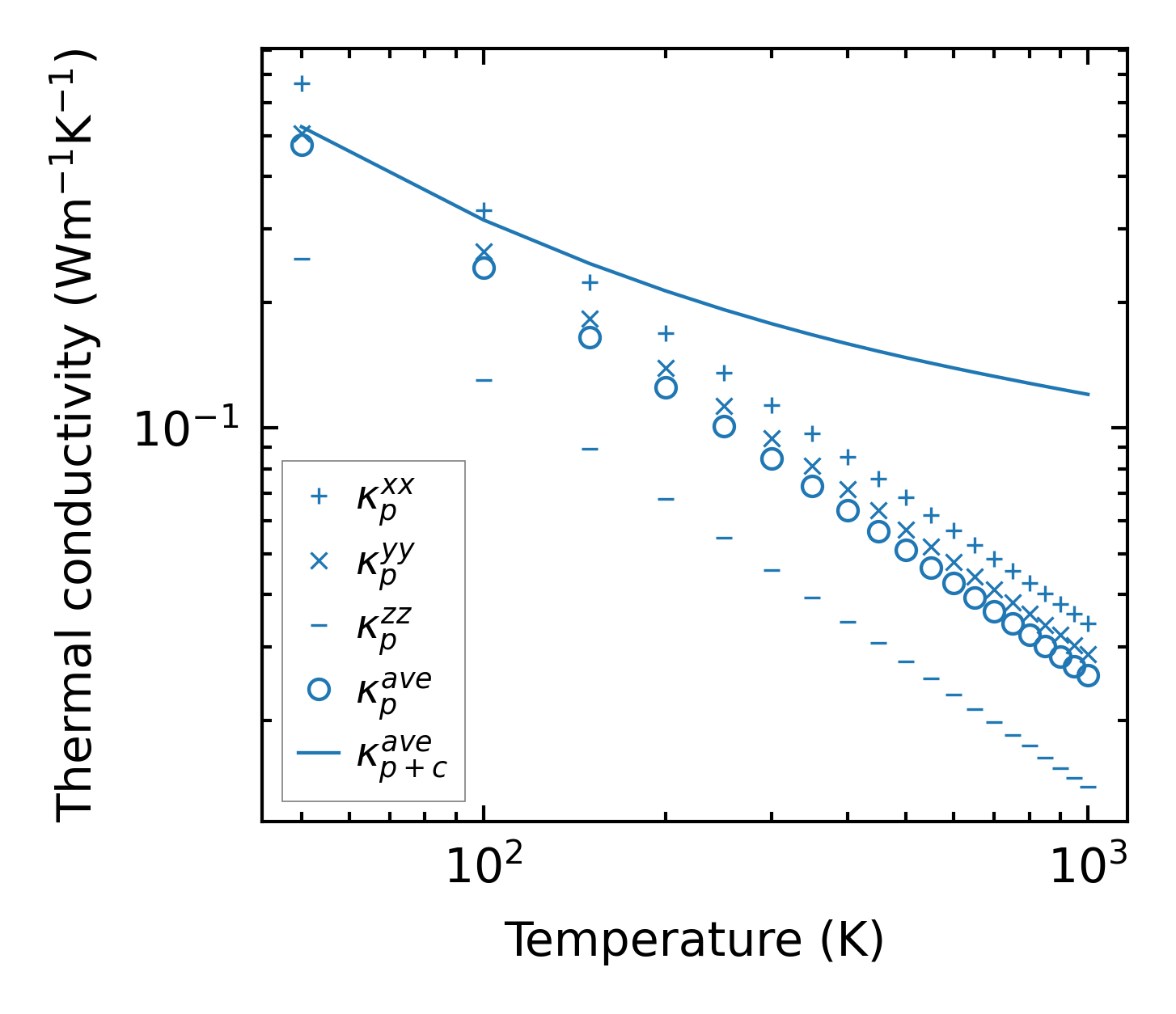
Thermal conductivity

3-phonon (LASSO) — q-mesh: 9x7x6, supercell: 2x2x1

../../_images/fig_kappa5774.png

(a) Temperature-dependent lattice thermal conductivity

../../_images/fig_kappa_vs_grain_size3091.png

(b) Peierls lattice thermal conductivity w.r.t grain size

Phonon lifetime and scattering rates

../../_images/fig_lifetime3023.png

(a) Phonon lifetime due to phonon-phonon scattering

../../_images/fig_scat_rates3022.png

(b) Phonon scattering rates

Cumulative and spectral thermal conductivity

../../_images/fig_cumu_frequency3023.png

(a) Spectral and cumulative thermal conductivity w.r.t frequency

../../_images/fig_cumu_mfp3022.png

(b) Spectral and cumulative thermal conductivity w.r.t MFP

Force constants

../../_images/fig_fc27012.png

(a) Force constants w.r.t atomic distance

Summary

../../_images/fig_kappa5775.png

(a) Temperature-dependent lattice thermal conductivity

../../_images/fig_times12875.png

(b) Computation time