mp-568244-2/TlSn2Br5/anharm

Equation of state

../../_images/fig_bm3846.png

(a) Equation of state

Harmonic properties

../../_images/fig_bandos_pr7258.png

(a) Phonon dispersion with participation ratio and DOS

../../_images/fig_bandos10244.png

(b) Phonon dispersion and DOS

../../_images/fig_thermo7258.png

(c) Thermodynamic properties

Grüneisen parameters

../../_images/fig_gru_all3054.png

(a) Grüneisen parameters

../../_images/fig_gruneisen3054.png

(b) Phonon dispersion with Grüneisen parameters

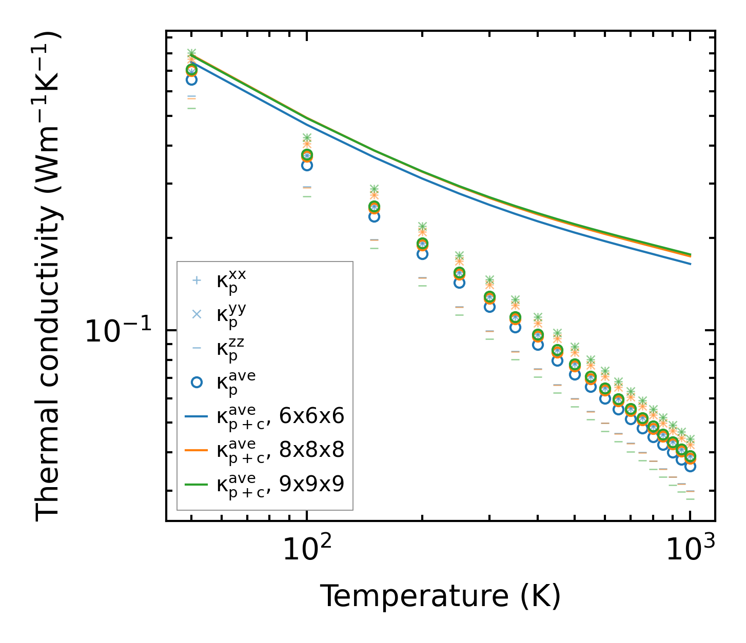
Thermal conductivity

3-phonon (LASSO) — q-mesh: 9x9x9, supercell: 2x2x1

../../_images/fig_kappa5785.png

(a) Temperature-dependent lattice thermal conductivity

../../_images/fig_kappa_vs_grain_size3097.png

(b) Peierls lattice thermal conductivity w.r.t grain size

Phonon lifetime and scattering rates

../../_images/fig_lifetime3029.png

(a) Phonon lifetime due to phonon-phonon scattering

../../_images/fig_scat_rates3028.png

(b) Phonon scattering rates

Cumulative and spectral thermal conductivity

../../_images/fig_cumu_frequency3029.png

(a) Spectral and cumulative thermal conductivity w.r.t frequency

../../_images/fig_cumu_mfp3028.png

(b) Spectral and cumulative thermal conductivity w.r.t MFP

Force constants

../../_images/fig_fc27025.png

(a) Force constants w.r.t atomic distance

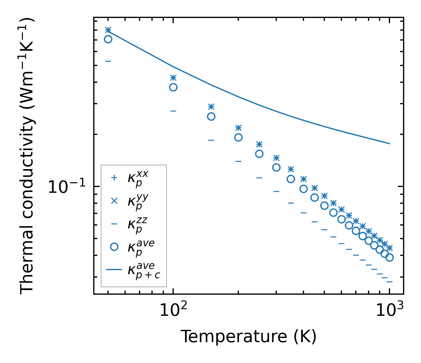
Summary

../../_images/fig_kappa5786.png

(a) Temperature-dependent lattice thermal conductivity

../../_images/fig_times12895.png

(b) Computation time