mp-568105/Ba2Zr6BCl17/anharm

Harmonic properties

../../_images/fig_bandos_pr7244.png

(a) Phonon dispersion with participation ratio and DOS

../../_images/fig_thermo7244.png

(b) Thermodynamic properties

Grüneisen parameters

../../_images/fig_gru_all3047.png

(a) Grüneisen parameters

../../_images/fig_gruneisen3047.png

(b) Phonon dispersion with Grüneisen parameters

Thermal conductivity

3-phonon (LASSO) — q-mesh: 8x8x8, supercell: 1x1x2

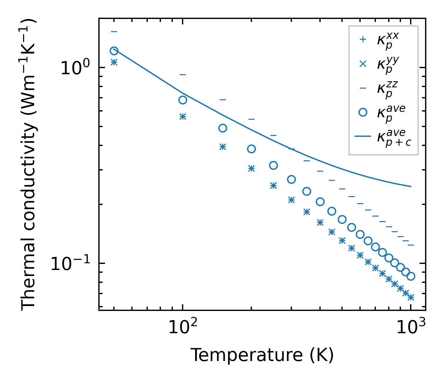
../../_images/fig_kappa5772.png

(a) Temperature-dependent lattice thermal conductivity

../../_images/fig_kappa_vs_grain_size3090.png

(b) Peierls lattice thermal conductivity w.r.t grain size

Phonon lifetime and scattering rates

../../_images/fig_lifetime3022.png

(a) Phonon lifetime due to phonon-phonon scattering

../../_images/fig_scat_rates3021.png

(b) Phonon scattering rates

Cumulative and spectral thermal conductivity

../../_images/fig_cumu_frequency3022.png

(a) Spectral and cumulative thermal conductivity w.r.t frequency

../../_images/fig_cumu_mfp3021.png

(b) Spectral and cumulative thermal conductivity w.r.t MFP

Force constants

../../_images/fig_fc27011.png

(a) Force constants w.r.t atomic distance

Summary

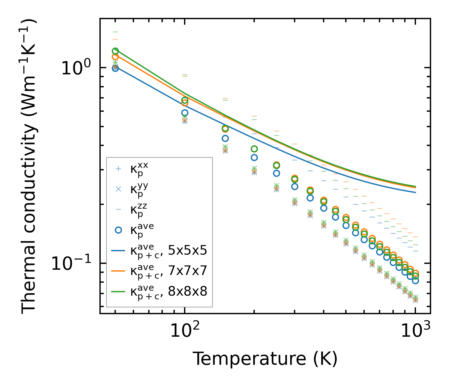
../../_images/fig_kappa5773.png

(a) Temperature-dependent lattice thermal conductivity

../../_images/fig_times12874.png

(b) Computation time