mp-568191/SrLuCuSe3/anharm

Harmonic properties

../../_images/fig_bandos_pr7252.png

(a) Phonon dispersion with participation ratio and DOS

../../_images/fig_thermo7252.png

(b) Thermodynamic properties

Grüneisen parameters

../../_images/fig_gru_all3051.png

(a) Grüneisen parameters

../../_images/fig_gruneisen3051.png

(b) Phonon dispersion with Grüneisen parameters

Thermal conductivity

3-phonon (LASSO) — q-mesh: 12x12x8, supercell: 3x1x2

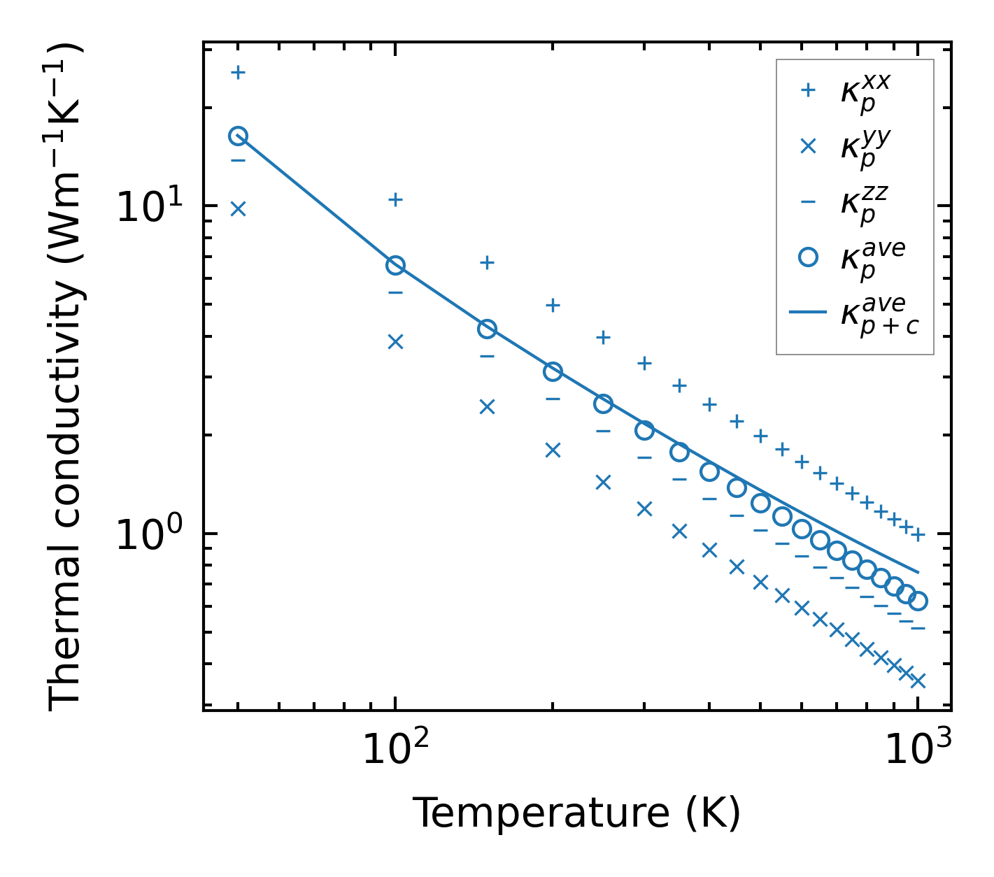
../../_images/fig_kappa5780.png

(a) Temperature-dependent lattice thermal conductivity

../../_images/fig_kappa_vs_grain_size3094.png

(b) Peierls lattice thermal conductivity w.r.t grain size

Phonon lifetime and scattering rates

../../_images/fig_lifetime3026.png

(a) Phonon lifetime due to phonon-phonon scattering

../../_images/fig_scat_rates3025.png

(b) Phonon scattering rates

Cumulative and spectral thermal conductivity

../../_images/fig_cumu_frequency3026.png

(a) Spectral and cumulative thermal conductivity w.r.t frequency

../../_images/fig_cumu_mfp3025.png

(b) Spectral and cumulative thermal conductivity w.r.t MFP

Force constants

../../_images/fig_fc27019.png

(a) Force constants w.r.t atomic distance

Summary

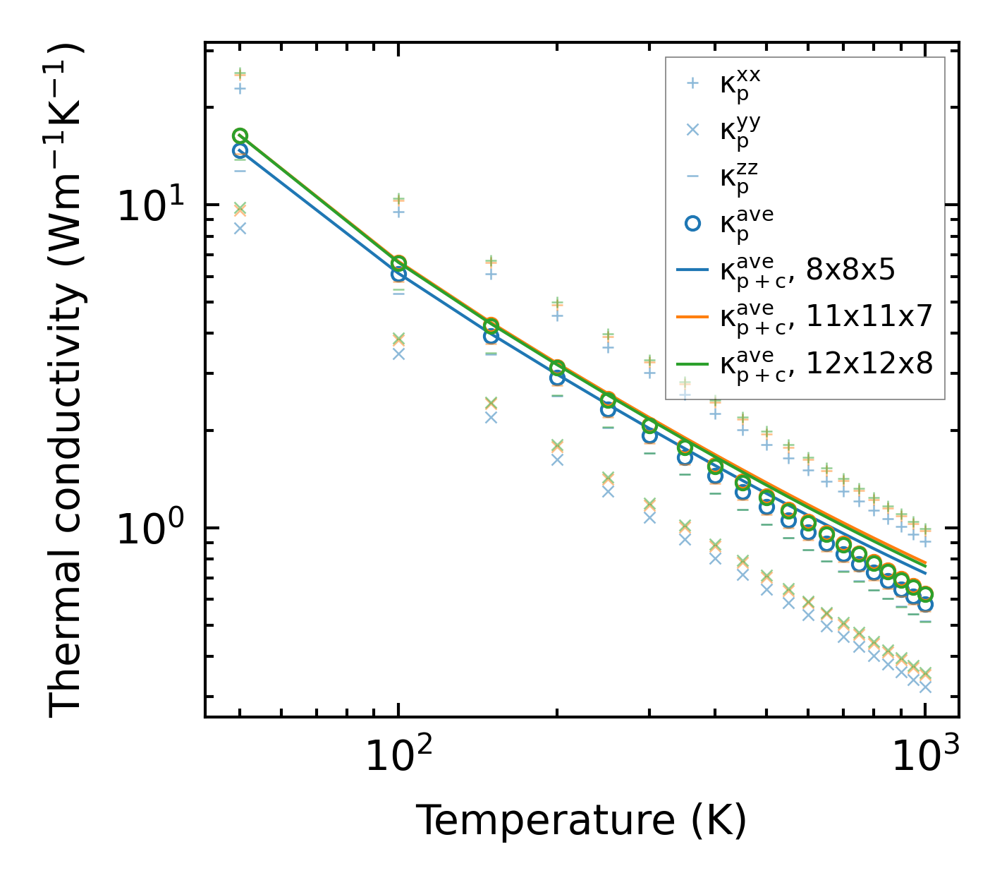
../../_images/fig_kappa5781.png

(a) Temperature-dependent lattice thermal conductivity

../../_images/fig_times12887.png

(b) Computation time