mp-568050/Ca3SiBr2/anharm

Harmonic properties

../../_images/fig_bandos_pr7238.png

(a) Phonon dispersion with participation ratio and DOS

../../_images/fig_thermo7238.png

(b) Thermodynamic properties

Grüneisen parameters

../../_images/fig_gru_all3045.png

(a) Grüneisen parameters

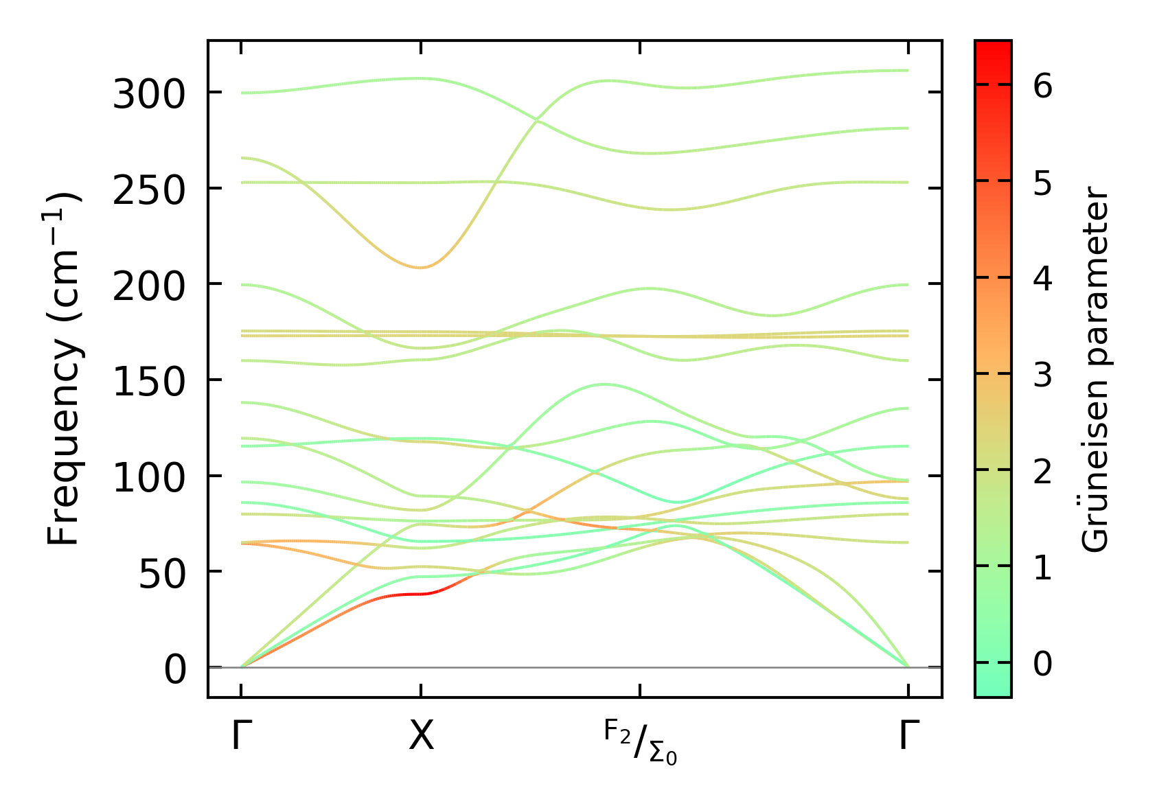
../../_images/fig_gruneisen3045.png

(b) Phonon dispersion with Grüneisen parameters

Thermal conductivity

3-phonon (LASSO) — q-mesh: 13x13x13, supercell: 4x3x1

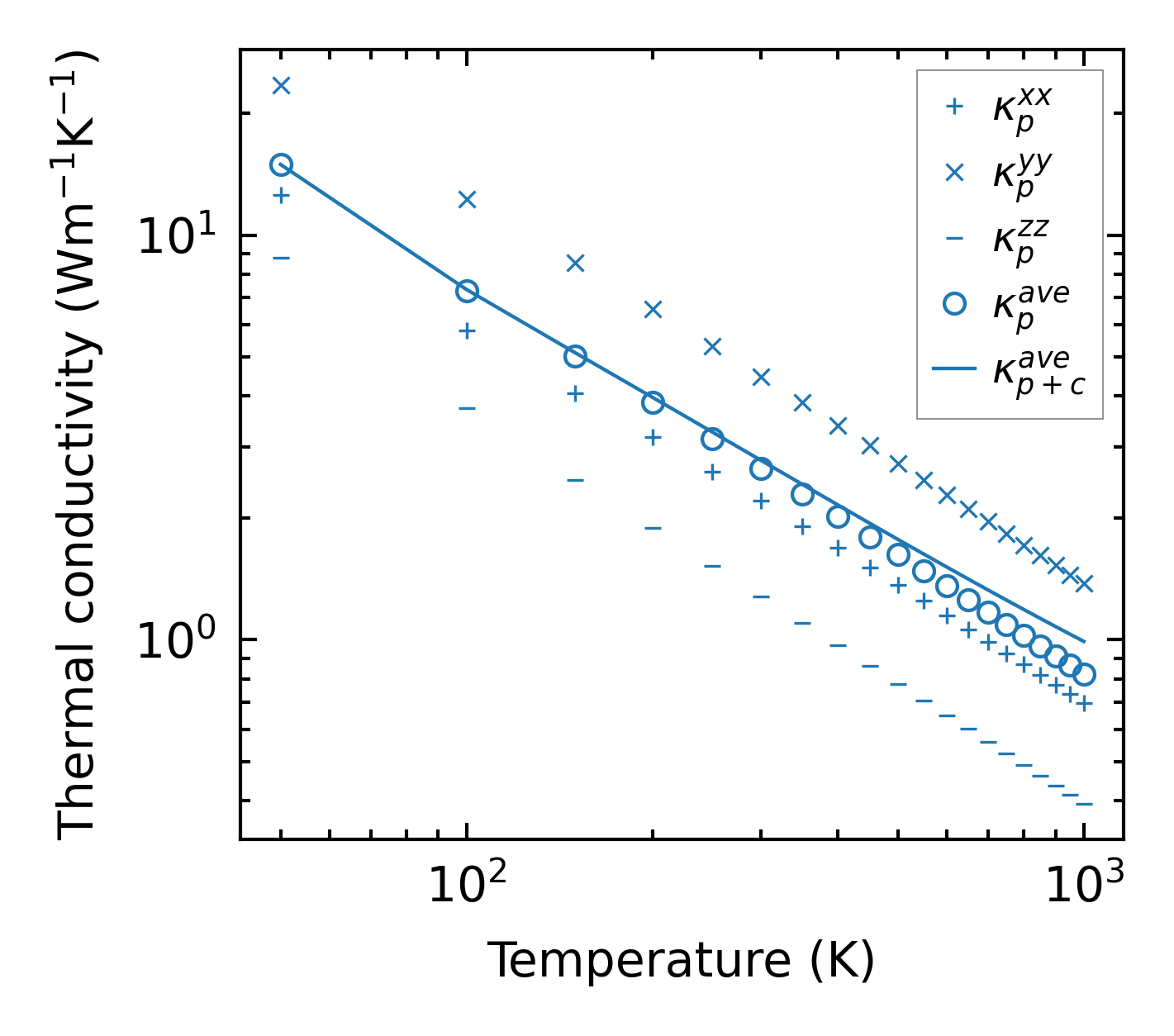
../../_images/fig_kappa5768.png

(a) Temperature-dependent lattice thermal conductivity

../../_images/fig_kappa_vs_grain_size3088.png

(b) Peierls lattice thermal conductivity w.r.t grain size

Phonon lifetime and scattering rates

../../_images/fig_lifetime3020.png

(a) Phonon lifetime due to phonon-phonon scattering

../../_images/fig_scat_rates3019.png

(b) Phonon scattering rates

Cumulative and spectral thermal conductivity

../../_images/fig_cumu_frequency3020.png

(a) Spectral and cumulative thermal conductivity w.r.t frequency

../../_images/fig_cumu_mfp3019.png

(b) Spectral and cumulative thermal conductivity w.r.t MFP

Force constants

../../_images/fig_fc27005.png

(a) Force constants w.r.t atomic distance

Summary

../../_images/fig_kappa5769.png

(a) Temperature-dependent lattice thermal conductivity

../../_images/fig_times12868.png

(b) Computation time