mp-568543/Na2SnSe3/anharm

Equation of state

../../_images/fig_bm3859.png

(a) Equation of state

Harmonic properties

../../_images/fig_bandos_pr7294.png

(a) Phonon dispersion with participation ratio and DOS

../../_images/fig_thermo7294.png

(b) Thermodynamic properties

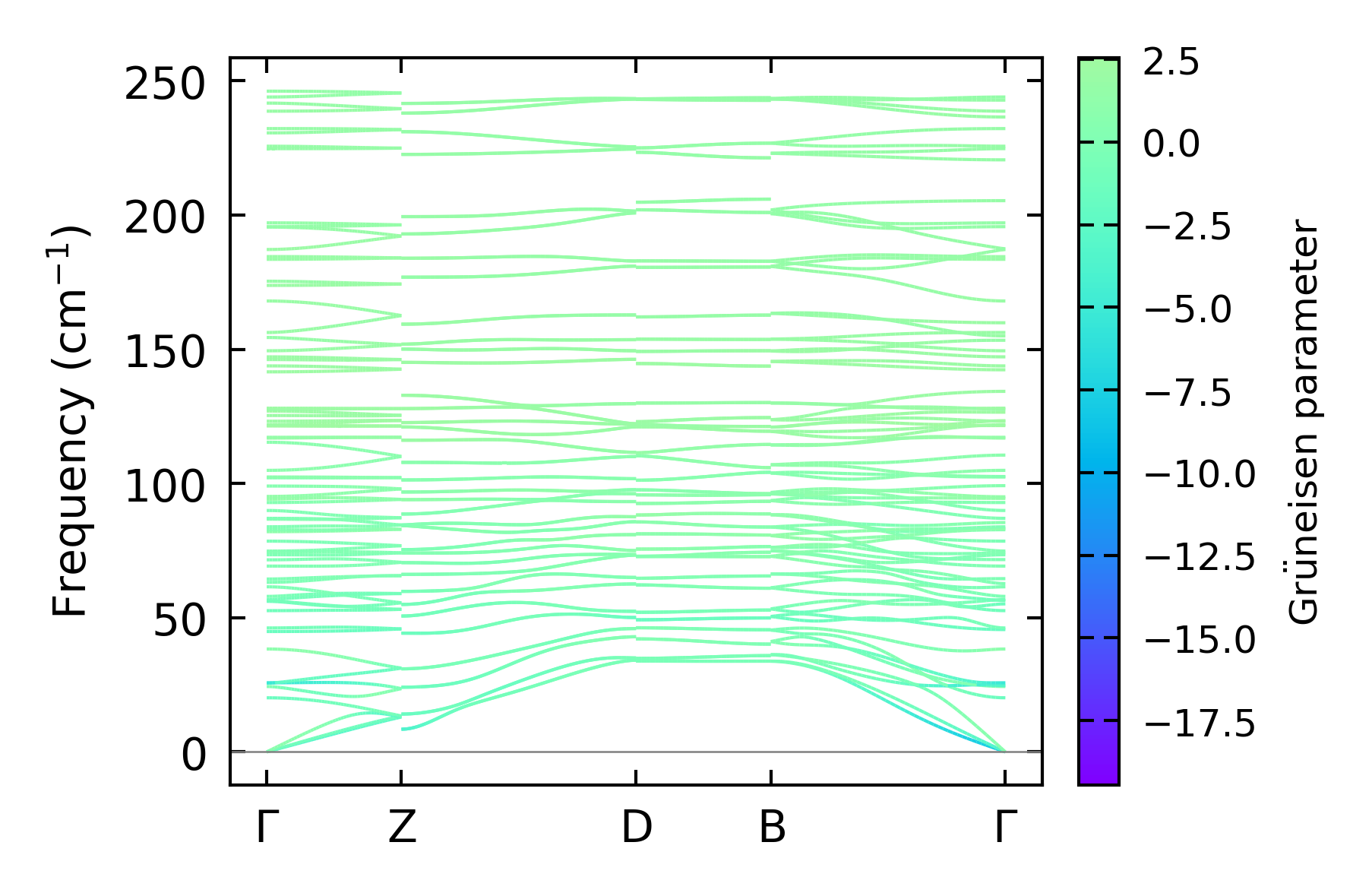
Grüneisen parameters

../../_images/fig_gru_all3075.png

(a) Grüneisen parameters

../../_images/fig_gruneisen3075.png

(b) Phonon dispersion with Grüneisen parameters

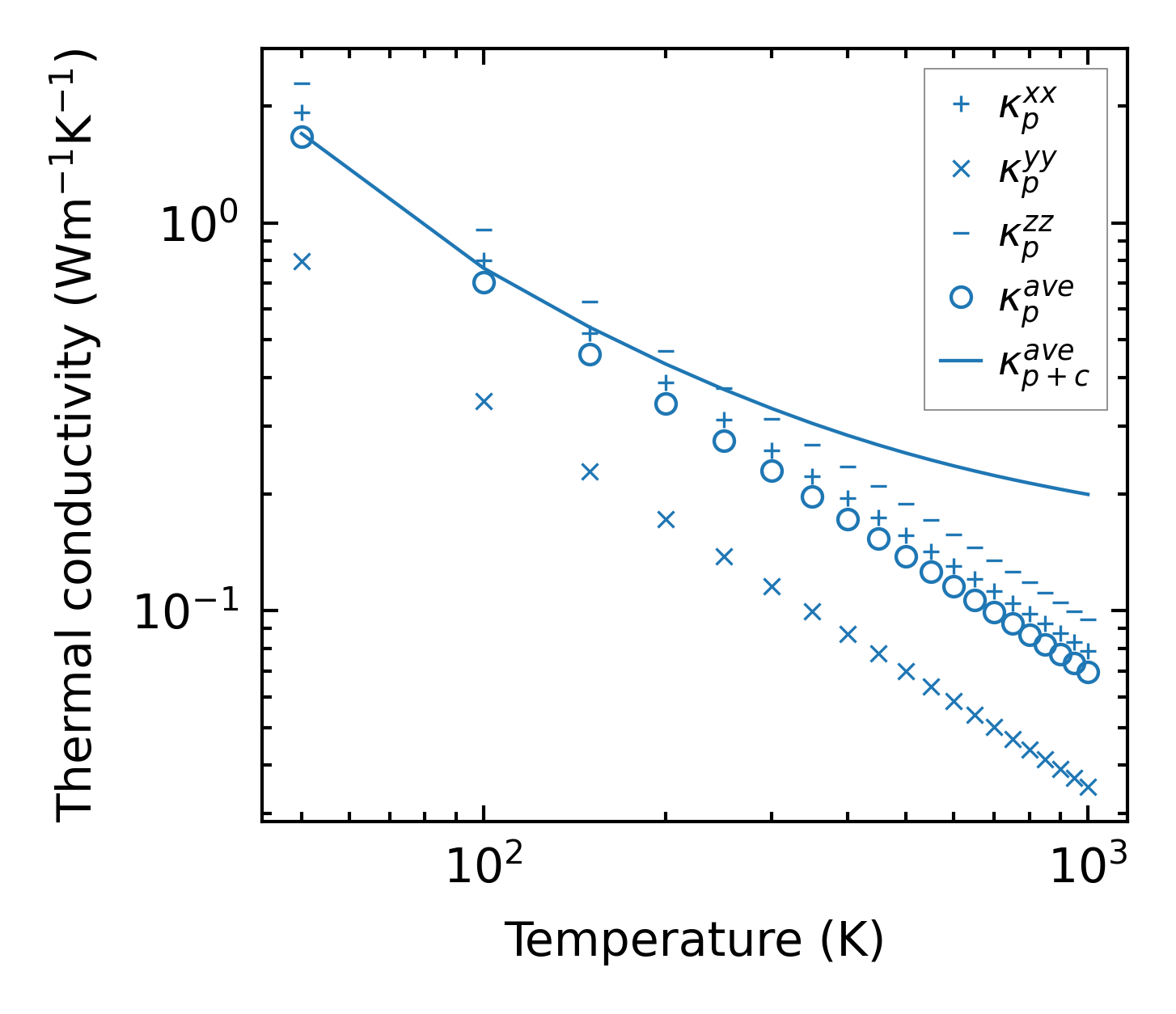
Thermal conductivity

3-phonon (LASSO) — q-mesh: 10x4x12, supercell: 2x1x3

../../_images/fig_kappa5824.png

(a) Temperature-dependent lattice thermal conductivity

../../_images/fig_kappa_vs_grain_size3117.png

(b) Peierls lattice thermal conductivity w.r.t grain size

Phonon lifetime and scattering rates

../../_images/fig_lifetime3049.png

(a) Phonon lifetime due to phonon-phonon scattering

../../_images/fig_scat_rates3048.png

(b) Phonon scattering rates

Cumulative and spectral thermal conductivity

../../_images/fig_cumu_frequency3049.png

(a) Spectral and cumulative thermal conductivity w.r.t frequency

../../_images/fig_cumu_mfp3048.png

(b) Spectral and cumulative thermal conductivity w.r.t MFP

Force constants

../../_images/fig_fc27060.png

(a) Force constants w.r.t atomic distance

Summary

../../_images/fig_kappa5825.png

(a) Temperature-dependent lattice thermal conductivity

../../_images/fig_times12942.png

(b) Computation time