mp-568228-2/RbLaSiC4N8/harm

Equation of state

../../_images/fig_bm3844.png

(a) Equation of state

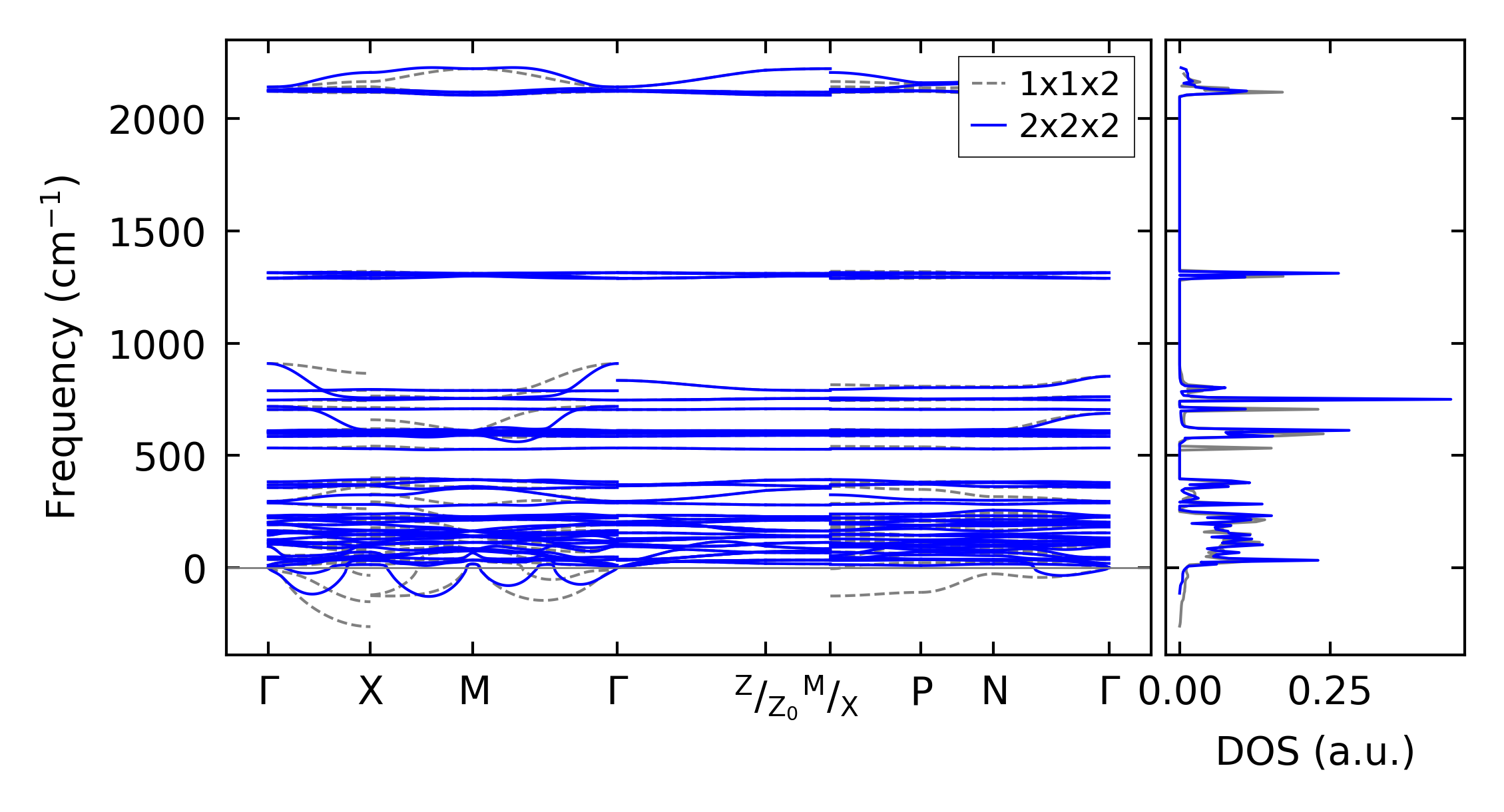
Harmonic properties

../../_images/fig_bandos_pr7256.png

(a) Phonon dispersion with participation ratio and DOS

../../_images/fig_bandos10241.png

(b) Phonon dispersion and DOS

../../_images/fig_thermo7256.png

(c) Thermodynamic properties

Force constants

../../_images/fig_fc27023.png

(a) Force constants w.r.t atomic distance

Summary

../../_images/fig_times12892.png

(a) Computation time