mp-568758/BiBr/anharm

Harmonic properties

../../_images/fig_bandos_pr6950.png

(a) Phonon dispersion with participation ratio and DOS

../../_images/fig_thermo6950.png

(b) Thermodynamic properties

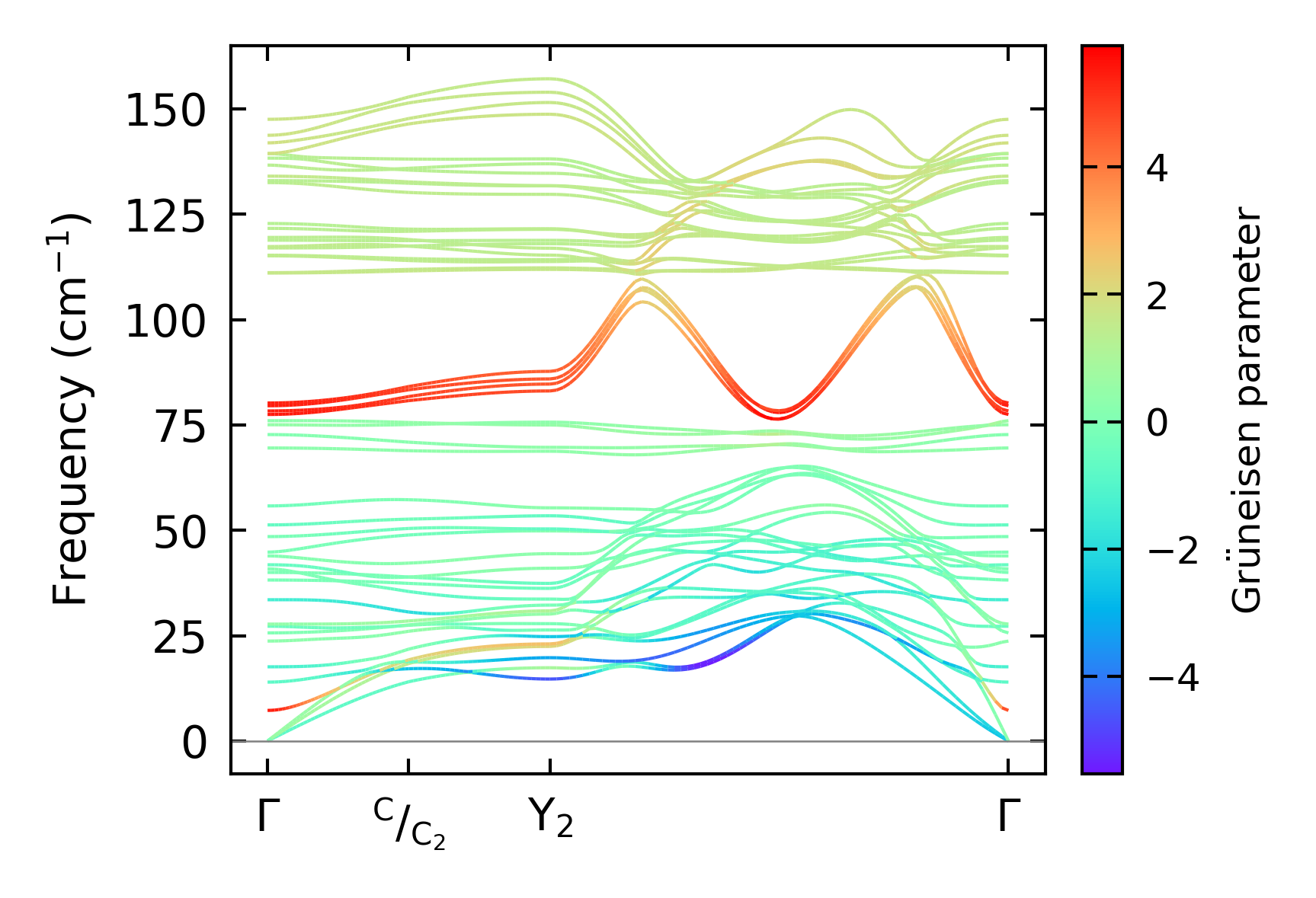
Grüneisen parameters

../../_images/fig_gru_all2878.png

(a) Grüneisen parameters

../../_images/fig_gruneisen2878.png

(b) Phonon dispersion with Grüneisen parameters

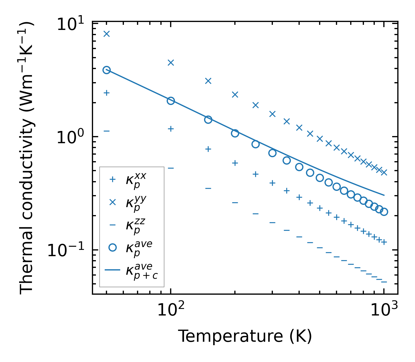
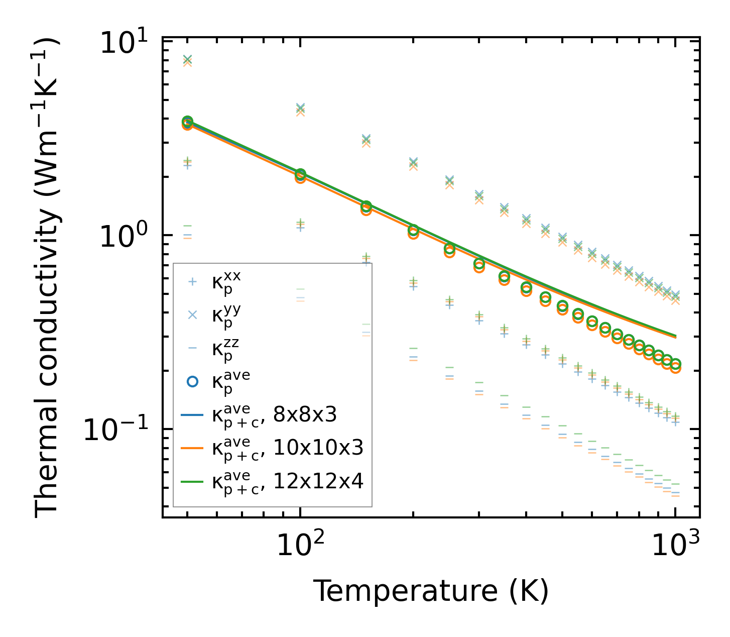
Thermal conductivity

3-phonon (LASSO) — q-mesh: 12x12x4, supercell: 1x4x1

../../_images/fig_kappa5463.png

(a) Temperature-dependent lattice thermal conductivity

../../_images/fig_kappa_vs_grain_size2920.png

(b) Peierls lattice thermal conductivity w.r.t grain size

Phonon lifetime and scattering rates

../../_images/fig_lifetime2854.png

(a) Phonon lifetime due to phonon-phonon scattering

../../_images/fig_scat_rates2853.png

(b) Phonon scattering rates

Cumulative and spectral thermal conductivity

../../_images/fig_cumu_frequency2854.png

(a) Spectral and cumulative thermal conductivity w.r.t frequency

../../_images/fig_cumu_mfp2853.png

(b) Spectral and cumulative thermal conductivity w.r.t MFP

Force constants

../../_images/fig_fc26728.png

(a) Force constants w.r.t atomic distance

Summary

../../_images/fig_kappa5464.png

(a) Temperature-dependent lattice thermal conductivity

../../_images/fig_times12452.png

(b) Computation time