mp-568441/MgH2/anharm

Harmonic properties

../../_images/fig_bandos_pr7284.png

(a) Phonon dispersion with participation ratio and DOS

../../_images/fig_thermo7284.png

(b) Thermodynamic properties

Grüneisen parameters

../../_images/fig_gru_all3069.png

(a) Grüneisen parameters

../../_images/fig_gruneisen3069.png

(b) Phonon dispersion with Grüneisen parameters

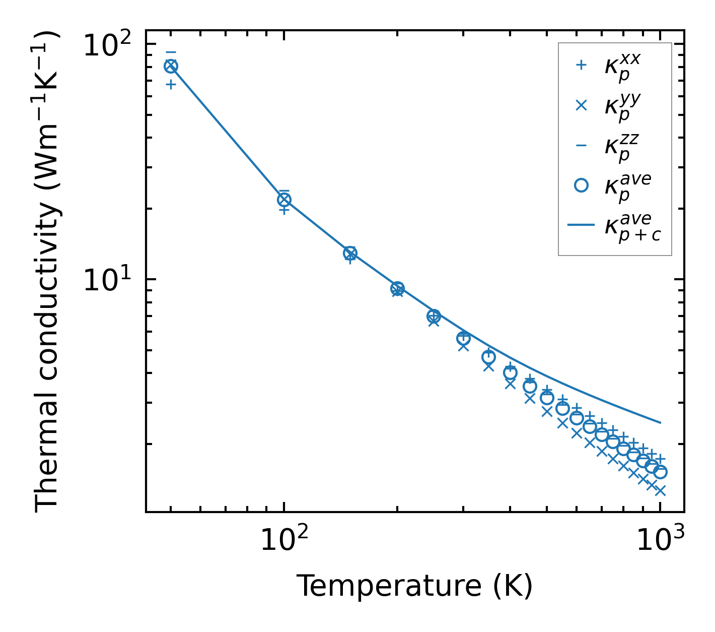
Thermal conductivity

3-phonon (LASSO) — q-mesh: 15x7x14, supercell: 2x1x2

../../_images/fig_kappa5814.png

(a) Temperature-dependent lattice thermal conductivity

../../_images/fig_kappa_vs_grain_size3112.png

(b) Peierls lattice thermal conductivity w.r.t grain size

Phonon lifetime and scattering rates

../../_images/fig_lifetime3044.png

(a) Phonon lifetime due to phonon-phonon scattering

../../_images/fig_scat_rates3043.png

(b) Phonon scattering rates

Cumulative and spectral thermal conductivity

../../_images/fig_cumu_frequency3044.png

(a) Spectral and cumulative thermal conductivity w.r.t frequency

../../_images/fig_cumu_mfp3043.png

(b) Spectral and cumulative thermal conductivity w.r.t MFP

Force constants

../../_images/fig_fc27050.png

(a) Force constants w.r.t atomic distance

Summary

../../_images/fig_kappa5815.png

(a) Temperature-dependent lattice thermal conductivity

../../_images/fig_times12927.png

(b) Computation time