mp-568328/FeP4/anharm

Equation of state

../../_images/fig_bm3849.png

(a) Equation of state

Harmonic properties

../../_images/fig_bandos_pr7269.png

(a) Phonon dispersion with participation ratio and DOS

../../_images/fig_bandos10253.png

(b) Phonon dispersion and DOS

../../_images/fig_thermo7269.png

(c) Thermodynamic properties

Grüneisen parameters

../../_images/fig_gru_all3059.png

(a) Grüneisen parameters

../../_images/fig_gruneisen3059.png

(b) Phonon dispersion with Grüneisen parameters

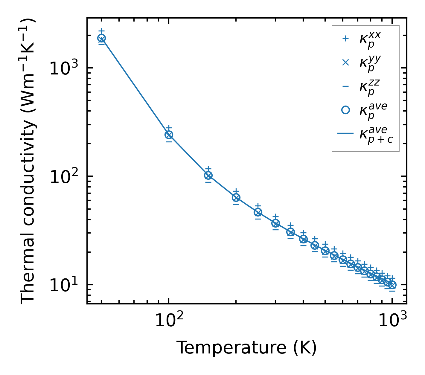
Thermal conductivity

3-phonon (LASSO), supercell 3x2x2 — q-mesh: 13x13x14, supercell: 3x2x2

../../_images/fig_kappa5795.png

(a) Temperature-dependent lattice thermal conductivity

../../_images/fig_kappa_vs_grain_size3102.png

(b) Peierls lattice thermal conductivity w.r.t grain size

Phonon lifetime and scattering rates

../../_images/fig_lifetime3034.png

(a) Phonon lifetime due to phonon-phonon scattering

../../_images/fig_scat_rates3033.png

(b) Phonon scattering rates

Cumulative and spectral thermal conductivity

../../_images/fig_cumu_frequency3034.png

(a) Spectral and cumulative thermal conductivity w.r.t frequency

../../_images/fig_cumu_mfp3033.png

(b) Spectral and cumulative thermal conductivity w.r.t MFP

Force constants

../../_images/fig_fc27035.png

(a) Force constants w.r.t atomic distance

Summary

../../_images/fig_times12908.png

(a) Computation time