mp-568365/Li6Br3N/anharm

Harmonic properties

../../_images/fig_bandos_pr7273.png

(a) Phonon dispersion with participation ratio and DOS

../../_images/fig_thermo7273.png

(b) Thermodynamic properties

Grüneisen parameters

../../_images/fig_gru_all3060.png

(a) Grüneisen parameters

../../_images/fig_gruneisen3060.png

(b) Phonon dispersion with Grüneisen parameters

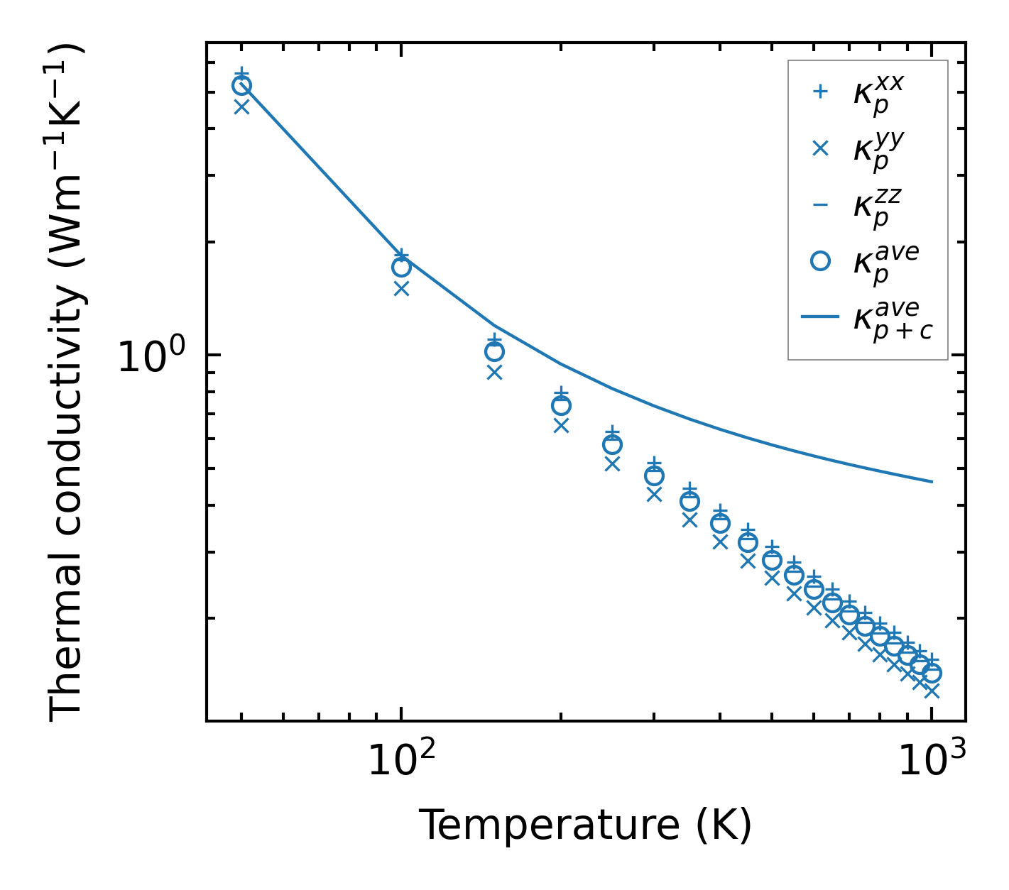
Thermal conductivity

3-phonon (LASSO) — q-mesh: 6x6x6, supercell: 1x1x1

../../_images/fig_kappa5796.png

(a) Temperature-dependent lattice thermal conductivity

../../_images/fig_kappa_vs_grain_size3103.png

(b) Peierls lattice thermal conductivity w.r.t grain size

Phonon lifetime and scattering rates

../../_images/fig_lifetime3035.png

(a) Phonon lifetime due to phonon-phonon scattering

../../_images/fig_scat_rates3034.png

(b) Phonon scattering rates

Cumulative and spectral thermal conductivity

../../_images/fig_cumu_frequency3035.png

(a) Spectral and cumulative thermal conductivity w.r.t frequency

../../_images/fig_cumu_mfp3034.png

(b) Spectral and cumulative thermal conductivity w.r.t MFP

Force constants

../../_images/fig_fc27039.png

(a) Force constants w.r.t atomic distance

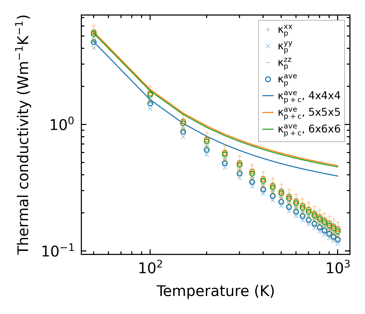
Summary

../../_images/fig_kappa5797.png

(a) Temperature-dependent lattice thermal conductivity

../../_images/fig_times12914.png

(b) Computation time