mp-568545/Cd4P2I3/anharm

Harmonic properties

../../_images/fig_bandos_pr7296.png

(a) Phonon dispersion with participation ratio and DOS

../../_images/fig_thermo7296.png

(b) Thermodynamic properties

Grüneisen parameters

../../_images/fig_gru_all3077.png

(a) Grüneisen parameters

../../_images/fig_gruneisen3077.png

(b) Phonon dispersion with Grüneisen parameters

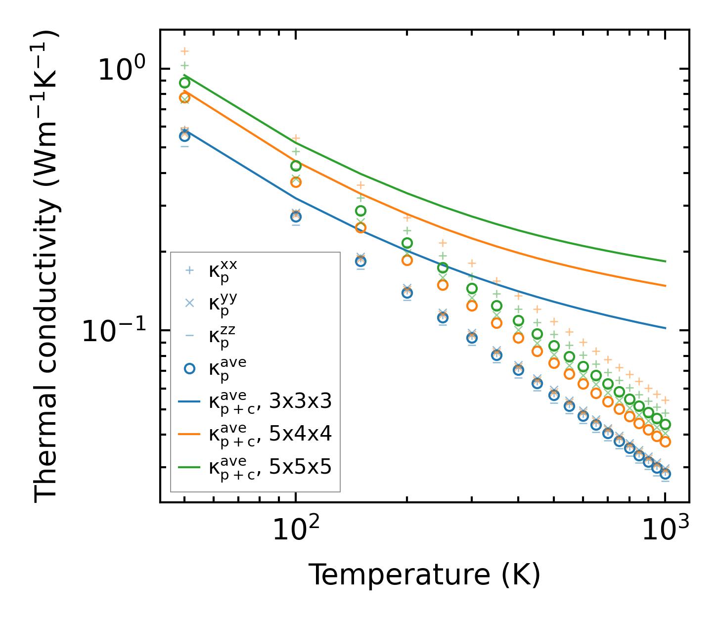
Thermal conductivity

3-phonon (LASSO) — q-mesh: 5x5x5, supercell: 2x1x1

../../_images/fig_kappa5828.png

(a) Temperature-dependent lattice thermal conductivity

../../_images/fig_kappa_vs_grain_size3119.png

(b) Peierls lattice thermal conductivity w.r.t grain size

Phonon lifetime and scattering rates

../../_images/fig_lifetime3051.png

(a) Phonon lifetime due to phonon-phonon scattering

../../_images/fig_scat_rates3050.png

(b) Phonon scattering rates

Cumulative and spectral thermal conductivity

../../_images/fig_cumu_frequency3051.png

(a) Spectral and cumulative thermal conductivity w.r.t frequency

../../_images/fig_cumu_mfp3050.png

(b) Spectral and cumulative thermal conductivity w.r.t MFP

Force constants

../../_images/fig_fc27061.png

(a) Force constants w.r.t atomic distance

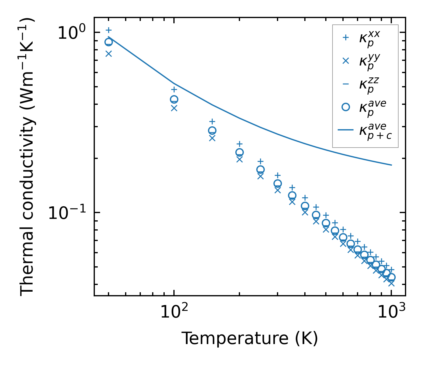
Summary

../../_images/fig_kappa5829.png

(a) Temperature-dependent lattice thermal conductivity

../../_images/fig_times12944.png

(b) Computation time