mp-568388/BiI/anharm

Harmonic properties

../../_images/fig_bandos_pr7277.png

(a) Phonon dispersion with participation ratio and DOS

../../_images/fig_thermo7277.png

(b) Thermodynamic properties

Grüneisen parameters

../../_images/fig_gru_all3064.png

(a) Grüneisen parameters

../../_images/fig_gruneisen3064.png

(b) Phonon dispersion with Grüneisen parameters

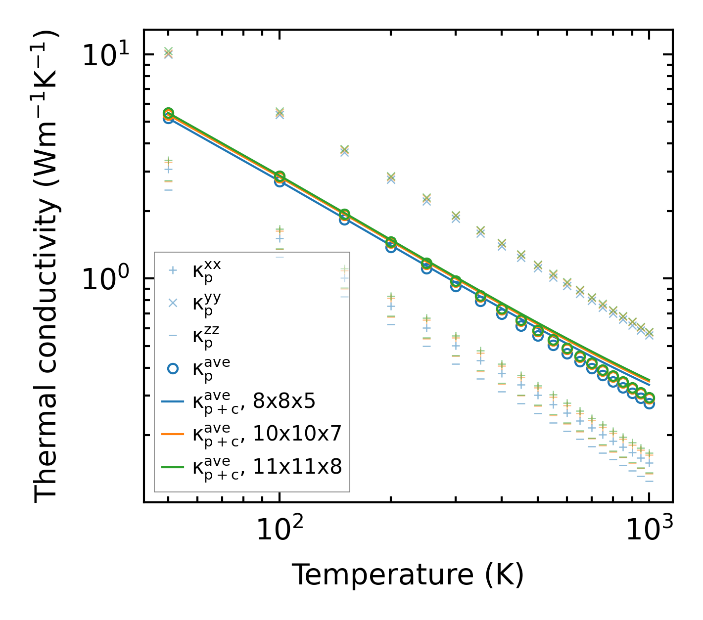
Thermal conductivity

3-phonon (LASSO) — q-mesh: 11x11x8, supercell: 1x4x2

../../_images/fig_kappa5804.png

(a) Temperature-dependent lattice thermal conductivity

../../_images/fig_kappa_vs_grain_size3107.png

(b) Peierls lattice thermal conductivity w.r.t grain size

Phonon lifetime and scattering rates

../../_images/fig_lifetime3039.png

(a) Phonon lifetime due to phonon-phonon scattering

../../_images/fig_scat_rates3038.png

(b) Phonon scattering rates

Cumulative and spectral thermal conductivity

../../_images/fig_cumu_frequency3039.png

(a) Spectral and cumulative thermal conductivity w.r.t frequency

../../_images/fig_cumu_mfp3038.png

(b) Spectral and cumulative thermal conductivity w.r.t MFP

Force constants

../../_images/fig_fc27043.png

(a) Force constants w.r.t atomic distance

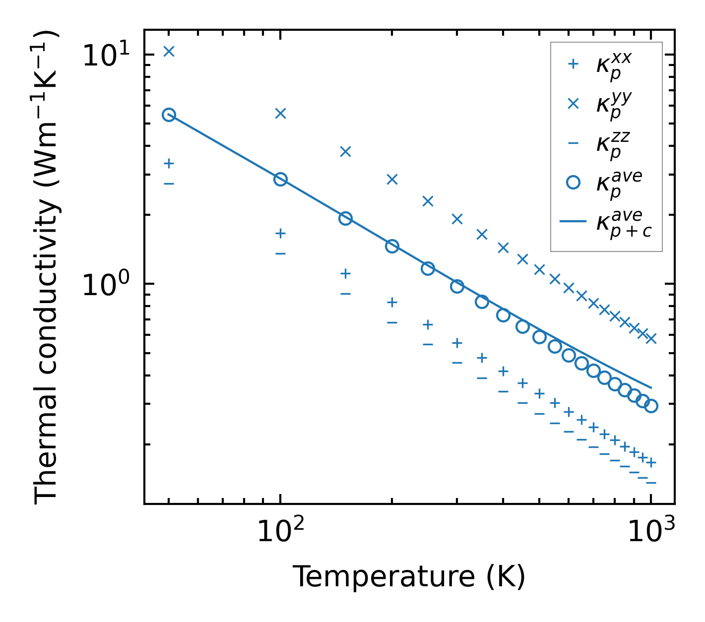
Summary

../../_images/fig_kappa5805.png

(a) Temperature-dependent lattice thermal conductivity

../../_images/fig_times12918.png

(b) Computation time