mp-568170/TbCl3/anharm

Harmonic properties

../../_images/fig_bandos_pr7249.png

(a) Phonon dispersion with participation ratio and DOS

../../_images/fig_thermo7249.png

(b) Thermodynamic properties

Grüneisen parameters

../../_images/fig_gru_all3049.png

(a) Grüneisen parameters

../../_images/fig_gruneisen3049.png

(b) Phonon dispersion with Grüneisen parameters

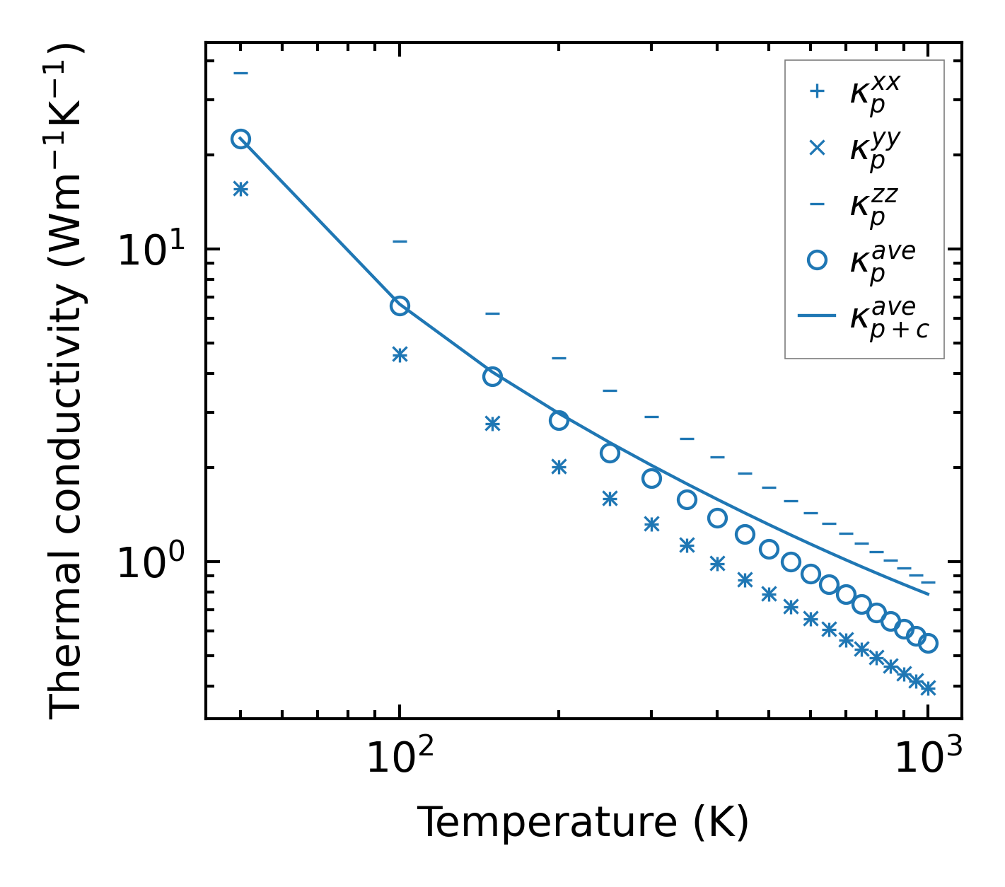
Thermal conductivity

3-phonon (LASSO) — q-mesh: 10x10x18, supercell: 2x2x4

../../_images/fig_kappa5776.png

(a) Temperature-dependent lattice thermal conductivity

../../_images/fig_kappa_vs_grain_size3092.png

(b) Peierls lattice thermal conductivity w.r.t grain size

Phonon lifetime and scattering rates

../../_images/fig_lifetime3024.png

(a) Phonon lifetime due to phonon-phonon scattering

../../_images/fig_scat_rates3023.png

(b) Phonon scattering rates

Cumulative and spectral thermal conductivity

../../_images/fig_cumu_frequency3024.png

(a) Spectral and cumulative thermal conductivity w.r.t frequency

../../_images/fig_cumu_mfp3023.png

(b) Spectral and cumulative thermal conductivity w.r.t MFP

Force constants

../../_images/fig_fc27016.png

(a) Force constants w.r.t atomic distance

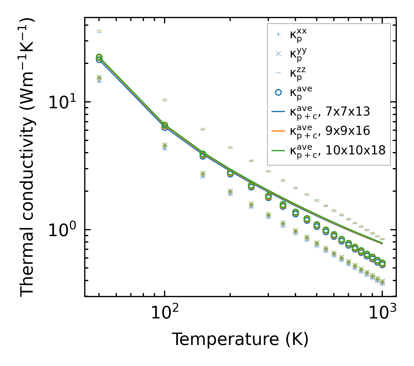
Summary

../../_images/fig_kappa5777.png

(a) Temperature-dependent lattice thermal conductivity

../../_images/fig_times12883.png

(b) Computation time