mp-568269/TmNiBi/anharm

Harmonic properties

../../_images/fig_bandos_pr7262.png

(a) Phonon dispersion with participation ratio and DOS

../../_images/fig_thermo7262.png

(b) Thermodynamic properties

Grüneisen parameters

../../_images/fig_gru_all3055.png

(a) Grüneisen parameters

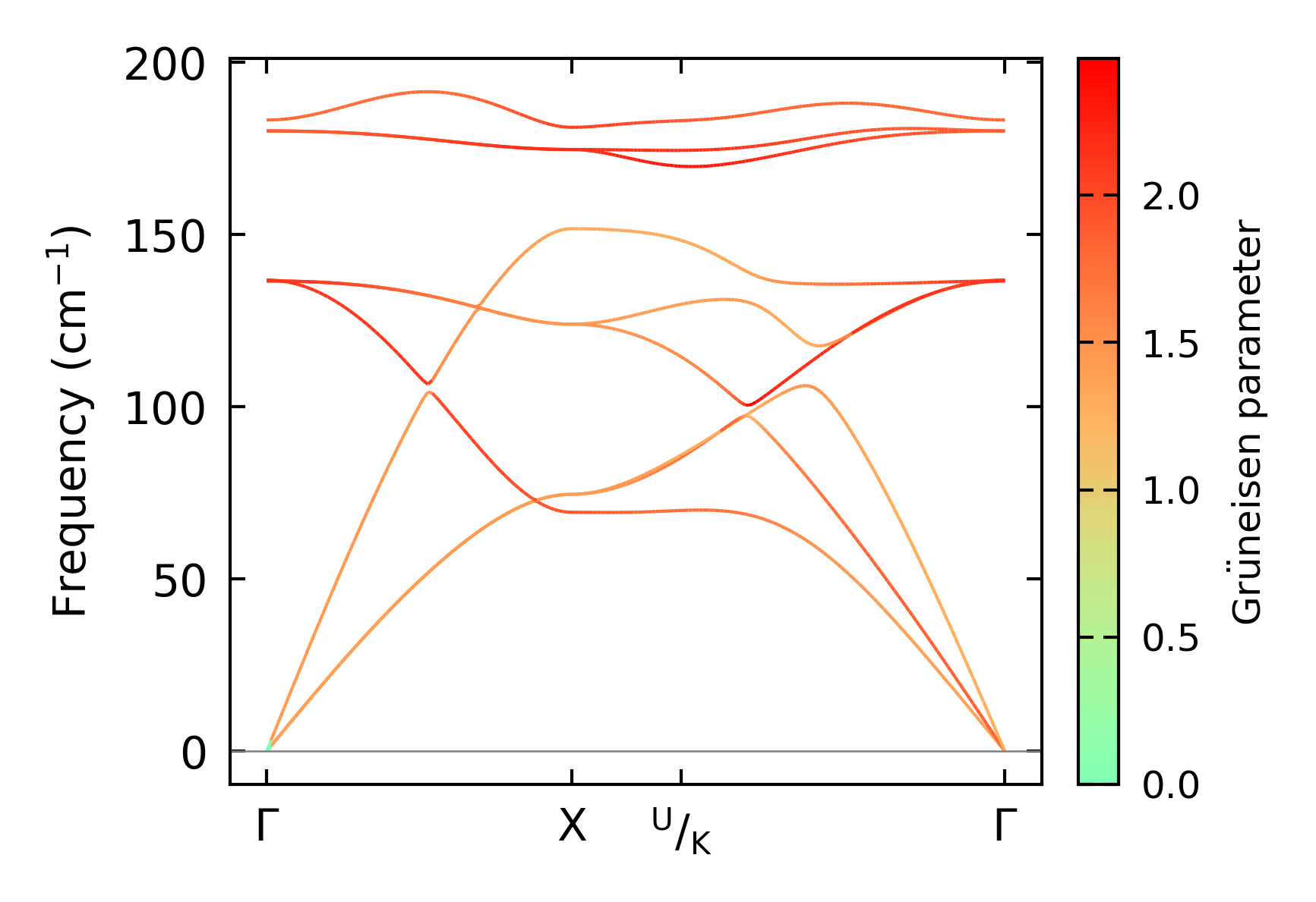
../../_images/fig_gruneisen3055.png

(b) Phonon dispersion with Grüneisen parameters

Thermal conductivity

3-phonon — q-mesh: 18x18x18, supercell: 2x2x2

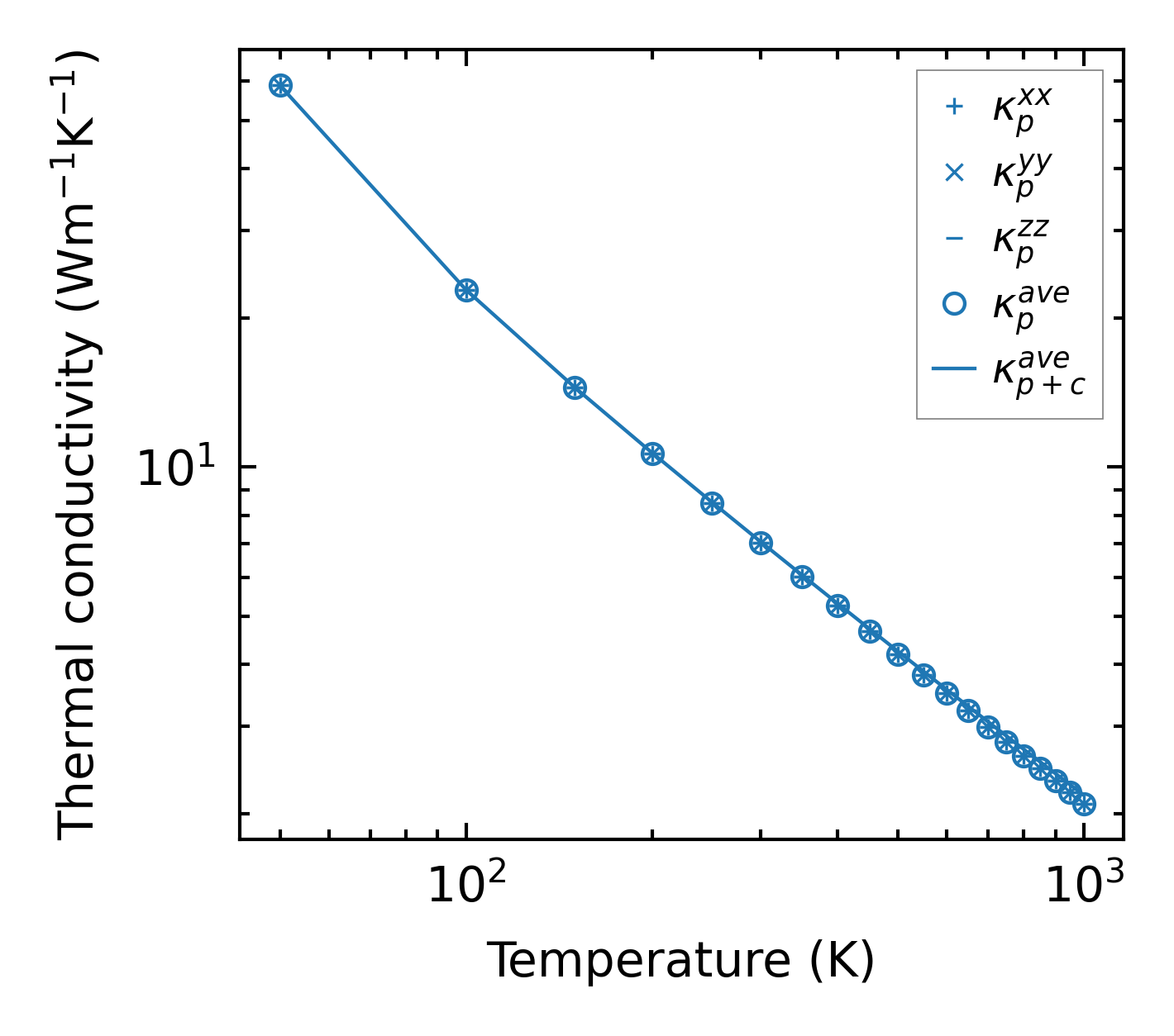
../../_images/fig_kappa5787.png

(a) Temperature-dependent lattice thermal conductivity

../../_images/fig_kappa_vs_grain_size3098.png

(b) Peierls lattice thermal conductivity w.r.t grain size

Phonon lifetime and scattering rates

../../_images/fig_lifetime3030.png

(a) Phonon lifetime due to phonon-phonon scattering

../../_images/fig_scat_rates3029.png

(b) Phonon scattering rates

Cumulative and spectral thermal conductivity

../../_images/fig_cumu_frequency3030.png

(a) Spectral and cumulative thermal conductivity w.r.t frequency

../../_images/fig_cumu_mfp3029.png

(b) Spectral and cumulative thermal conductivity w.r.t MFP

Force constants

../../_images/fig_fc3233.png

(a) Force constants w.r.t atomic distance

Summary

../../_images/fig_kappa5788.png

(a) Temperature-dependent lattice thermal conductivity

../../_images/fig_times12899.png

(b) Computation time