mp-568484/La3CBr5/anharm

Harmonic properties

../../_images/fig_bandos_pr7287.png

(a) Phonon dispersion with participation ratio and DOS

../../_images/fig_thermo7287.png

(b) Thermodynamic properties

Grüneisen parameters

../../_images/fig_gru_all3070.png

(a) Grüneisen parameters

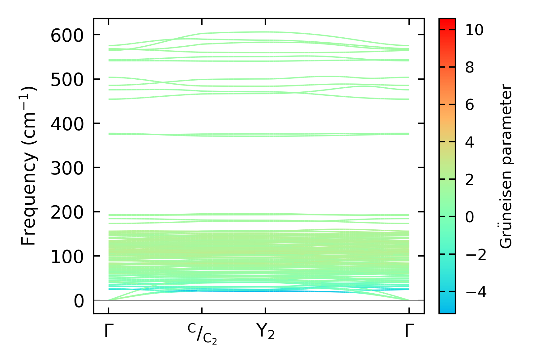
../../_images/fig_gruneisen3070.png

(b) Phonon dispersion with Grüneisen parameters

Thermal conductivity

3-phonon (LASSO) — q-mesh: 8x8x5, supercell: 1x2x1

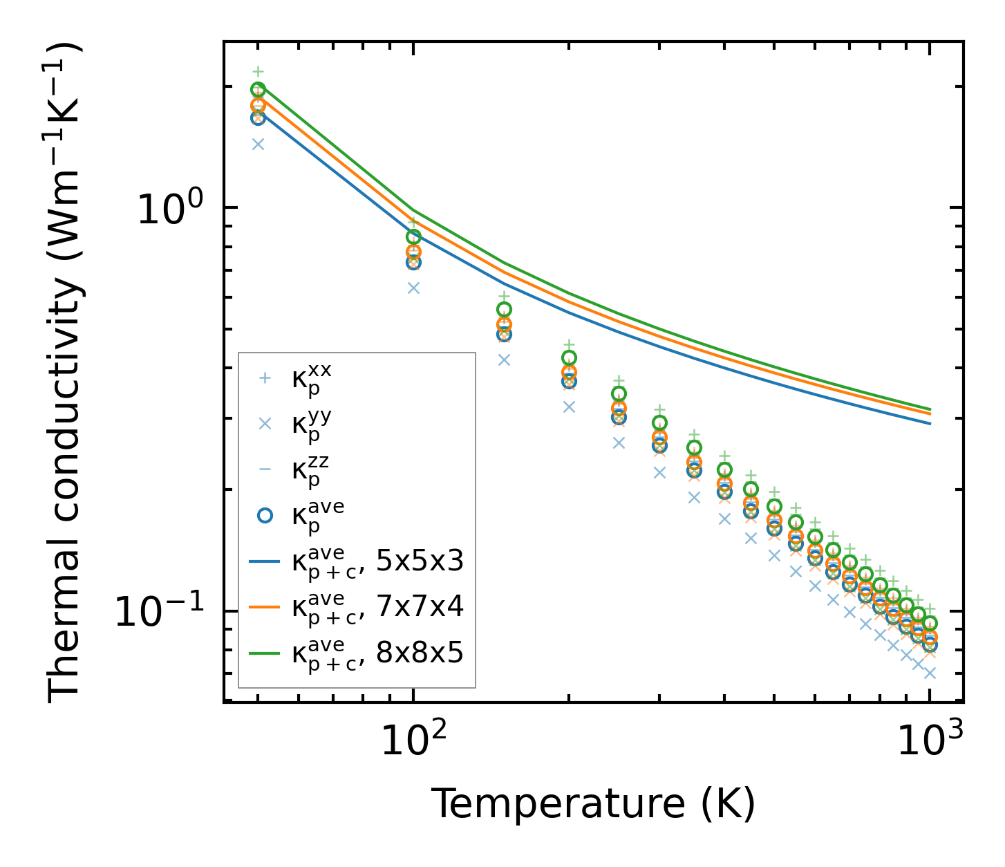
../../_images/fig_kappa5816.png

(a) Temperature-dependent lattice thermal conductivity

../../_images/fig_kappa_vs_grain_size3113.png

(b) Peierls lattice thermal conductivity w.r.t grain size

Phonon lifetime and scattering rates

../../_images/fig_lifetime3045.png

(a) Phonon lifetime due to phonon-phonon scattering

../../_images/fig_scat_rates3044.png

(b) Phonon scattering rates

Cumulative and spectral thermal conductivity

../../_images/fig_cumu_frequency3045.png

(a) Spectral and cumulative thermal conductivity w.r.t frequency

../../_images/fig_cumu_mfp3044.png

(b) Spectral and cumulative thermal conductivity w.r.t MFP

Force constants

../../_images/fig_fc27053.png

(a) Force constants w.r.t atomic distance

Summary

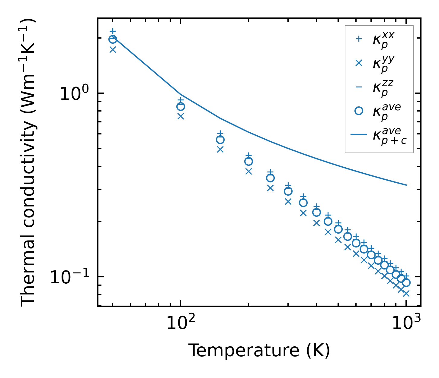
../../_images/fig_kappa5817.png

(a) Temperature-dependent lattice thermal conductivity

../../_images/fig_times12931.png

(b) Computation time