mp-568544/CsCdCl3/anharm

Harmonic properties

../../_images/fig_bandos_pr7295.png

(a) Phonon dispersion with participation ratio and DOS

../../_images/fig_thermo7295.png

(b) Thermodynamic properties

Grüneisen parameters

../../_images/fig_gru_all3076.png

(a) Grüneisen parameters

../../_images/fig_gruneisen3076.png

(b) Phonon dispersion with Grüneisen parameters

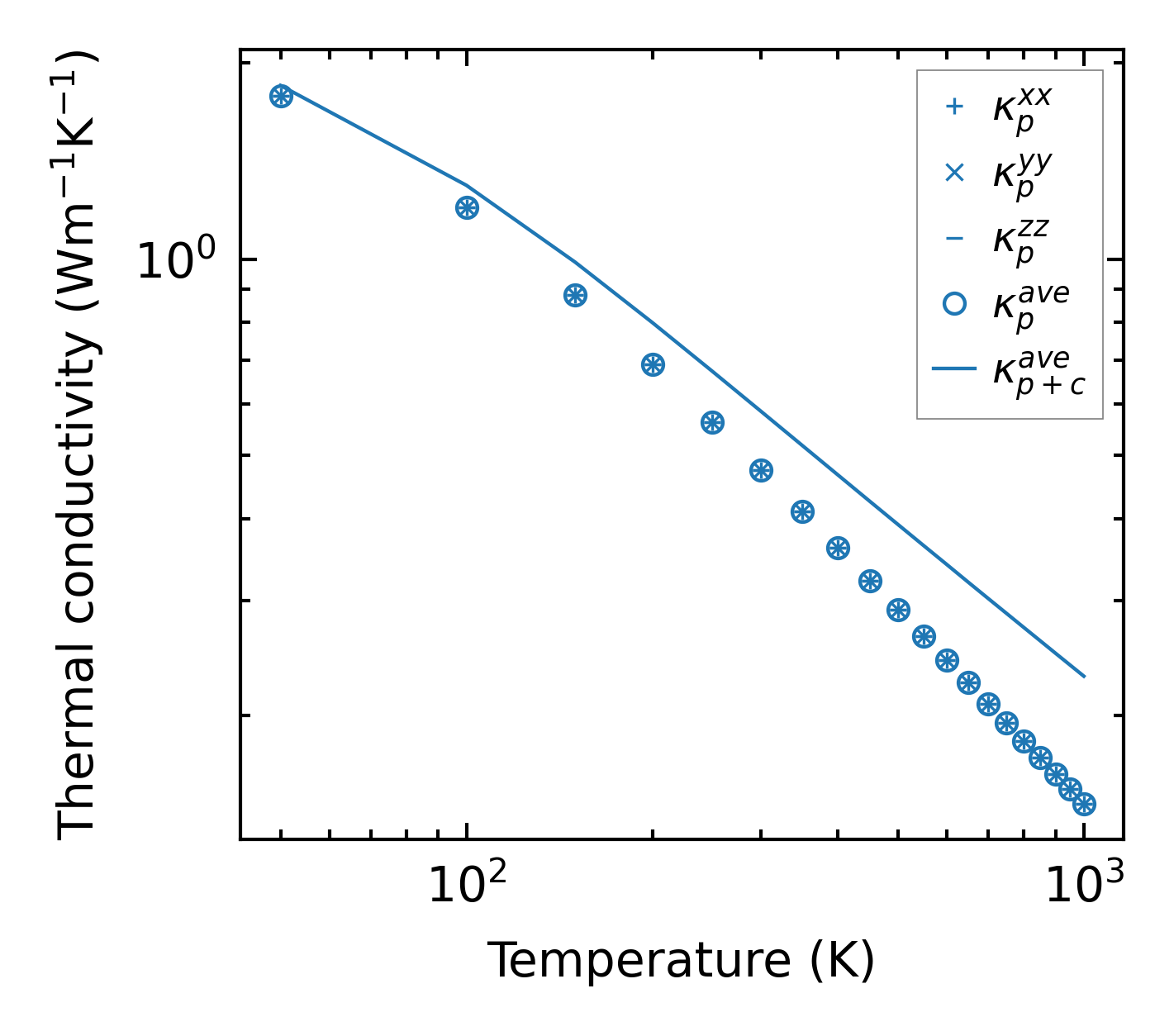
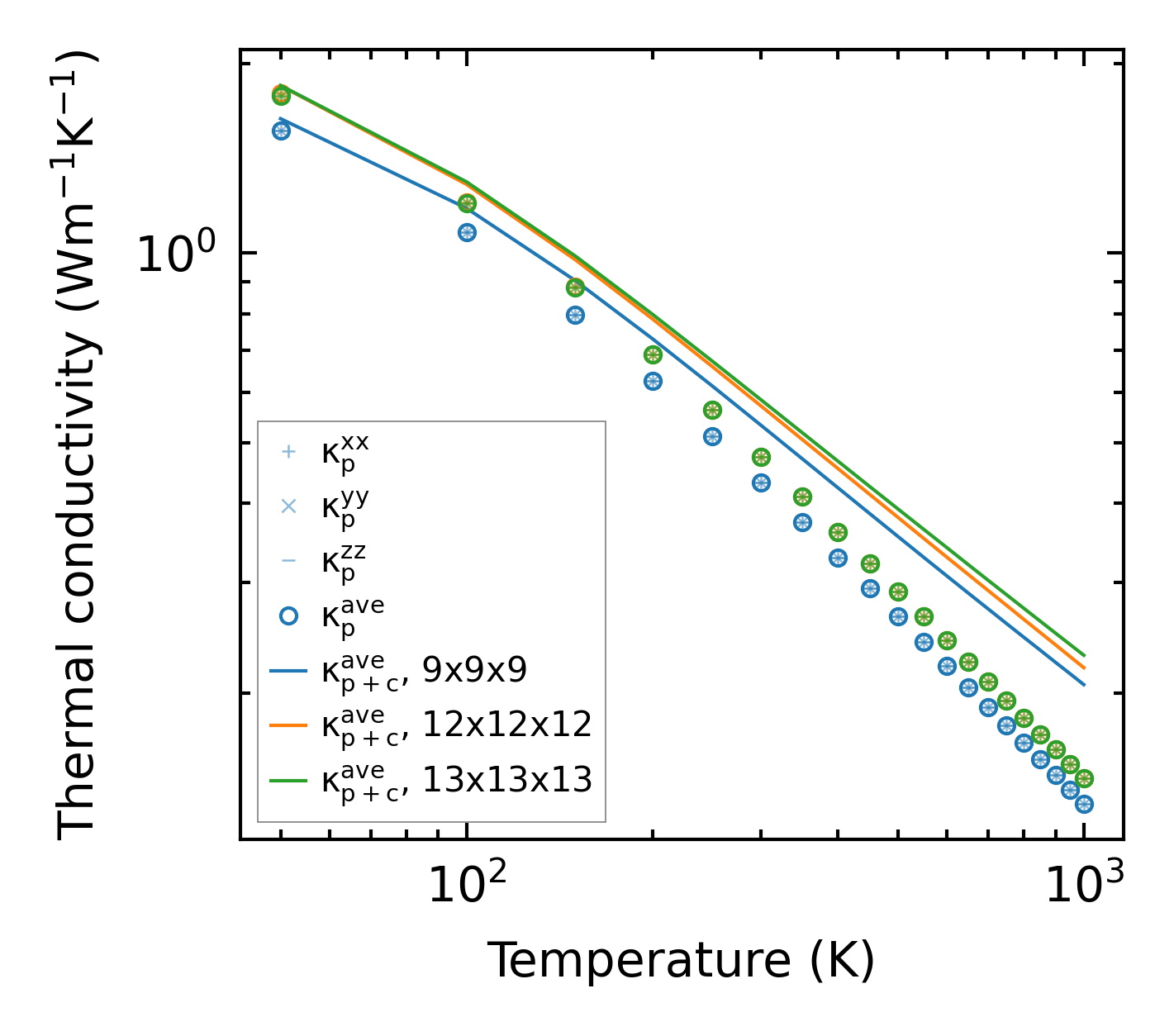
Thermal conductivity

3-phonon — q-mesh: 13x13x13, supercell: 3x3x3

../../_images/fig_kappa5826.png

(a) Temperature-dependent lattice thermal conductivity

../../_images/fig_kappa_vs_grain_size3118.png

(b) Peierls lattice thermal conductivity w.r.t grain size

Phonon lifetime and scattering rates

../../_images/fig_lifetime3050.png

(a) Phonon lifetime due to phonon-phonon scattering

../../_images/fig_scat_rates3049.png

(b) Phonon scattering rates

Cumulative and spectral thermal conductivity

../../_images/fig_cumu_frequency3050.png

(a) Spectral and cumulative thermal conductivity w.r.t frequency

../../_images/fig_cumu_mfp3049.png

(b) Spectral and cumulative thermal conductivity w.r.t MFP

Force constants

../../_images/fig_fc3234.png

(a) Force constants w.r.t atomic distance

Summary

../../_images/fig_kappa5827.png

(a) Temperature-dependent lattice thermal conductivity

../../_images/fig_times12943.png

(b) Computation time