mp-568949-2/TlBr/anharm

Equation of state

../../_images/fig_bm3727.png

(a) Equation of state

Harmonic properties

../../_images/fig_bandos_pr6973.png

(a) Phonon dispersion with participation ratio and DOS

../../_images/fig_bandos9959.png

(b) Phonon dispersion and DOS

../../_images/fig_thermo6973.png

(c) Thermodynamic properties

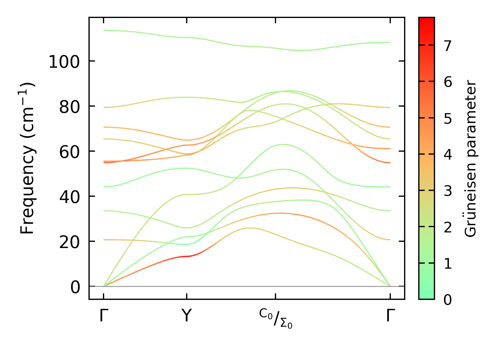
Grüneisen parameters

../../_images/fig_gru_all2892.png

(a) Grüneisen parameters

../../_images/fig_gruneisen2892.png

(b) Phonon dispersion with Grüneisen parameters

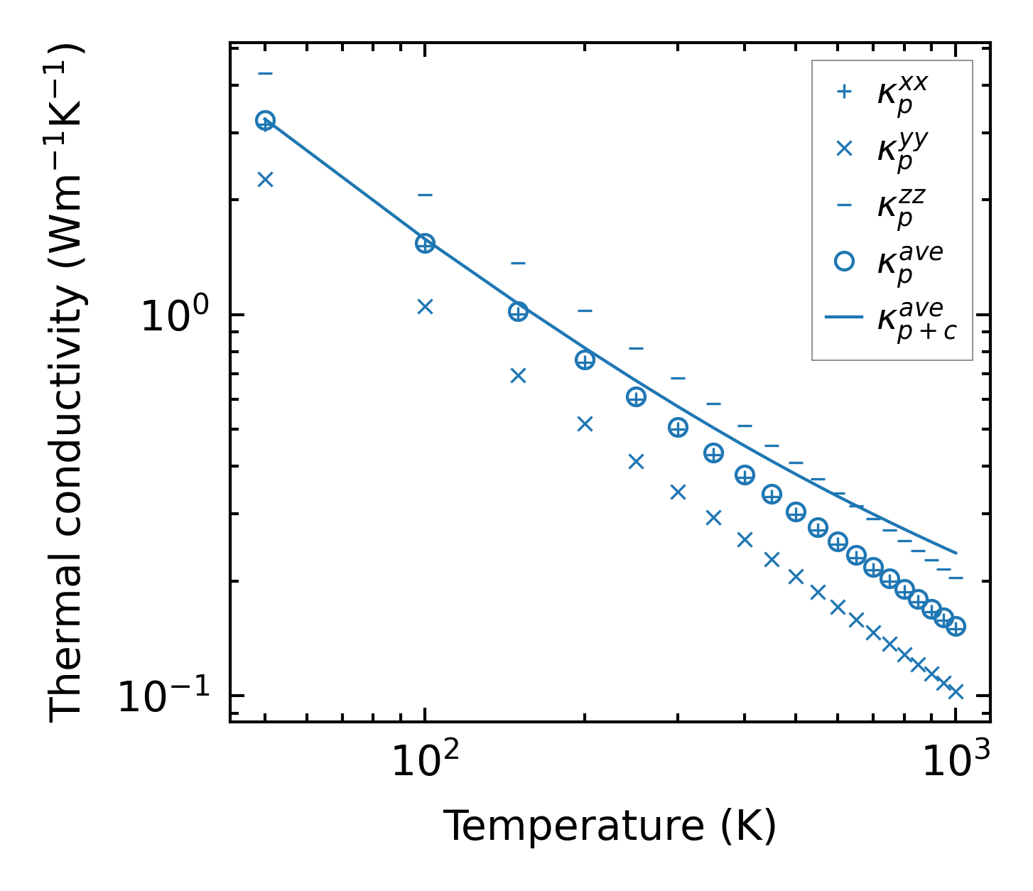
Thermal conductivity

3-phonon (LASSO), supercell 4x2x3 — q-mesh: 12x12x17, supercell: 4x2x3

../../_images/fig_kappa5487.png

(a) Temperature-dependent lattice thermal conductivity

../../_images/fig_kappa_vs_grain_size2934.png

(b) Peierls lattice thermal conductivity w.r.t grain size

Phonon lifetime and scattering rates

../../_images/fig_lifetime2868.png

(a) Phonon lifetime due to phonon-phonon scattering

../../_images/fig_scat_rates2867.png

(b) Phonon scattering rates

Cumulative and spectral thermal conductivity

../../_images/fig_cumu_frequency2868.png

(a) Spectral and cumulative thermal conductivity w.r.t frequency

../../_images/fig_cumu_mfp2867.png

(b) Spectral and cumulative thermal conductivity w.r.t MFP

Force constants

../../_images/fig_fc26751.png

(a) Force constants w.r.t atomic distance

Summary

../../_images/fig_times12482.png

(a) Computation time